Normal Matrix in JavaLast Updated : 6 Jan 2026 A square matrix A is called a normal matrix if it commutes with its transpose (or conjugate transpose). Note that a normal matrix must be square i.e. n×n. ![]() For complex matrices: ![]() where AH is the conjugate transpose of A. Note that identity, symmetric, skew-symmetric, unitary, Hermitian, and orthogonal matrices are special cases of normal matrices.
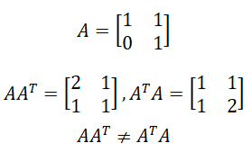
Example-1: Normal MatrixWe have given a matrix A, as follows: ![]() Hence, the given matrix A is a normal matrix. Example-2: Normal Matrix We have given a matrix A, as follows: ![]() Hence, the given matrix A is not a normal matrix. AlgorithmStep 1: Read matrix A of order n×n. Step 2: Find the transpose of A, call it AT Step 3: Compute matrix multiplication
Step 4: Compare matrices M1 and M2 Step 5:
Normal Matrix Java ProgramExampleCompile and RunOutput: Original Matrix: 1 2 3 2 1 4 3 4 1 The matrix is normal. Explanation The above Java program checks whether a given matrix is a normal matrix. Firstly, it defines a method that creates the transpose of a matrix by switching its rows and columns. Then, it defines another method that checks whether the matrix is normal by making sure that the matrix is square because only a square matrix is normal. After that, it multiplies the matrix by its transpose in both orders and compares the two products. If every position matches, then the matrix is normal. The program includes a method for multiplying two matrices and another for printing them. In the main() method, the matrix is created, printed and then tested using the normal matrix check. After the comparison, the program prints whether the matrix is normal or not. Advantages
Disadvantages
Applications
ConclusionA normal matrix is a square matrix that follows a special rule, where it gives the same result when multiplied by its transpose in order. It helps in many areas such as machine learning, graphics and signal processing. We can check whether a matrix is normal by finding its transpose, performing the multiplications and comparing the results. There are limitations of a normal matrix, such as performing slower for large data and the size is fixed. They are also useful because they make many mathematical operations easier and more stable. Overall, a normal matrix gives us a strong foundation for working with advanced mathematical and programming concepts. |
We request you to subscribe our newsletter for upcoming updates.

We deliver comprehensive tutorials, interview question-answers, MCQs, study materials on leading programming languages and web technologies like Data Science, MEAN/MERN full stack development, Python, Java, C++, C, HTML, React, Angular, PHP and much more to support your learning and career growth.
G-13, 2nd Floor, Sec-3, Noida, UP, 201301, India



