Search icon CANCEL
Subscription
0
Cart icon
Your Cart (0 item)
Close icon
You have no products in your basket yet
Save more on your purchases! discount-offer-chevron-icon
Savings automatically calculated. No voucher code required.
Arrow left icon
Explore Products
Best Sellers
New Releases
Books
Videos
Audiobooks
Learning Hub
Newsletter Hub
Free Learning
Arrow right icon
timer SALE ENDS IN
0 Days
:
00 Hours
:
00 Minutes
:
00 Seconds
Game Physics Cookbook
Game Physics Cookbook

Game Physics Cookbook: Discover over 100 easy-to-follow recipes to help you implement efficient game physics and collision detection in your games

eBook
$9.99 $43.99
Paperback
$54.99
Hardcover
$39.99
Subscription
Free Trial
Renews at $19.99p/m

What do you get with eBook?

Product feature icon Instant access to your Digital eBook purchase
Product feature icon Download this book in EPUB and PDF formats
Product feature icon Access this title in our online reader with advanced features
Product feature icon DRM FREE - Read whenever, wherever and however you want
Product feature icon AI Assistant (beta) to help accelerate your learning
Modal Close icon
Payment Processing...
tick Completed

Billing Address

Table of content icon View table of contents Preview book icon Preview Book

Game Physics Cookbook

Chapter 1. Vectors

In this chapter, we will cover the following vector operations:

  • Addition
  • Subtraction
  • Multiplication
  • Scalar Multiplication
  • Cross Product
  • Dot Product
  • Magnitude
  • Distance
  • Normalization
  • Angle
  • Projection
  • Reflection

Introduction

Throughout this book we are going to explore the mathematical concepts required to detect and react to intersections in a 3D environment. In order to achieve robust collision detection and build realistic reactions, we will need a strong understanding of the math required. The most important mathematical concepts in physics are Vectors and Matrices.

Physics and collisions rely heavily on Linear Algebra. The math involved may sound complicated at first, but it can be broken down into simple steps. The recipes in this chapter will explain the properties of vectors using math formulas. Each recipe will also contain a visual guide. Every formula will also have an accompanying code sample.

Note

This chapter does not assume you have any advanced math knowledge. I try to cover everything needed to understand the formulas presented. If you find yourself falling behind, Khan Academy covers the basic concepts of linear algebra at: www.khanacademy.org/math/linear-algebra.

Vector definition

A vector is an n-tuple of real numbers. A tuple is a finite ordered list of elements. An n-tuple is an ordered list of elements which has n dimensions. In the context of games n is usually 2, 3, or 4. An n-dimensional vector Vector definition is represented as follows:

Vector definition

The subscript numbers Vector definition are called the components of the vector. Components are expressed as a number or as a letter corresponding to the axis that component represents. Subscripts are indexed starting with 0. For example, Vector definition is the same as Vector definition. Axis x, y, z, and w correspond to the numbers 0, 1, 2, and 3, respectively.

Vectors are written as a capital bold letter with or without an arrow above it. Vector definition and V are both valid symbols for vector V. Throughout this book we are going to be using the arrow notation.

A vector does not have a position; it has a magnitude and a direction. The components of a vector measure signed displacement. In a two-dimensional vector for example, the first component represents displacement on the X axis, while the second number represents displacement on the Y axis.

Visually, a vector is drawn as a displacement arrow. The two dimensional vector Vector definition would be drawn as an arrow pointing to 3 units on the X axis and 2 units on the Y axis.

Vector definition

A vector consists of a direction and a magnitude. The direction is where the vector points and the magnitude is how far along that direction the vector is pointing. You can think of a vector as a series of instructions. For example, take three steps right and two steps up. Because a vector does not have a set position, where it is drawn does not matter as shown in the following diagram:

Vector definition

The preceding figure shows several vectors, with vector (3,2) appearing multiple times. The origin of a vector could be anywhere; the coordinate system of the preceding figure was omitted to emphasize this.

Getting ready

Video games commonly use two, three, and four-dimensional vectors. In this recipe, we are going to define C++ structures for two and three-dimensional vectors. These structures will expose each component of the vector by the name of an axis, as well as a numeric index.

How to do it…

Follow these steps to start implementing a math library with vector support:

  1. Create a new C++ header file; call this file vectors.h; add standard C-style header guards to the file:
    #ifndef _H_MATH_VECTORS_
    #define _H_MATH_VECTORS_
    
    // Structure definitions
    // Method declarations
    
    #endif
  2. Replace the // Structure definitions comment with the definition of a two-dimensional vector:
    typedef struct vec2 {
       union {
          struct {
             float x;
             float y;
          };
          float asArray[2];
       };
     
       float& operator[](int i) {
          return asArray[i];
       }
    } vec2;
  3. After the definition of vec2, add the definition for a three-dimensional vector:
    typedef struct vec3 {
       union {
          struct {
             float x;
             float y;
             float z;
          };
          float asArray[3];
       };
    
       float& operator[](int i) {
          return asArray[i];
       }
    } vec3;

How it works…

We have created two new structures, vec2 and vec3. These structures represent two and three-dimensional vectors, respectively. The structures are similar because with every new dimension the vector just adds a new component.

Inside the vector structures we declare an anonymous union. This anonymous union allows us to access the components of the vector by name or as an index into an array of floats. Additionally, we overloaded the indexing operator for each structure. This will allow us to index the vectors directly.

With the access patterns we implemented, the components of a vector can be accessed in the following manner:

vec3 right = {1.0f, 0.0f, 0.0f};
std::cout<< "Component 0: " <<right.x<< "\n";
std::cout<< "Component 0: " <<right.asArray[0] << "\n";
std::cout<< "Component 0: " <<right[0] << "\n";

There's more…

Games often use a four-dimensional vector, which adds a W component. However, this W component is not always treated as an axis. The W component is often used simply to store the result of a perspective divide, or to differentiate a vector from a point.

The W component

A vector can represent a point in space or a direction and a magnitude. A three-dimensional vector has no context; there is no way to tell from the x, y, and z components if the vector is supposed to be a point in space or a direction and a magnitude. In the context of games, this is what the W component of a four-dimensional vector is used for.

If the W component is 0, the vector is a direction and a magnitude. If the W component is anything else, usually 1, the vector is a point in space. This distinction seems arbitrary right now; it has to do with matrix transformations, which will be covered in Chapter 3, Matrix Transformations.

We did not implement a four-dimensional vector because we will not need it. Our matrix class will implement explicit functions for multiplying points and vectors. We will revisit this topic in Chapter 3, Matrix Transformations.

Component-wise operations

Given two vectors, there are several component-wise operations we can perform. These operations will operate on each component of the vector and yield a new vector.

You can add two vectors component wise. Given two n-dimensional vectors Component-wise operations and Component-wise operations, addition is defined as follows:

Component-wise operations

You can also subtract two vectors component wise. Given two n-dimensional vectors Component-wise operationsand Component-wise operations, subtraction is defined as follows:

Component-wise operations

Multiplying two vectors can also be done component wise. There are other ways to multiply two vectors; the dot product or cross product. Both of these alternate methods will be covered later in this chapter. Given two n-dimensional vectors Component-wise operations and Component-wise operations, multiplication is defined as follows:

Component-wise operations

In addition to multiplying two vectors, you can also multiply a vector by a scalar. In this context, a scalar is any real number. Given vector Component-wise operations and scalar S, scalar multiplication is defined as follows:

Component-wise operations

Finally, we can check for vector equality by comparing each component of the vectors being tested. Two vectors are the same only if all of their components are equal.

Getting ready

We're going to implement all of the preceding component-wise operations by overloading the appropriate C++ operators. All of the operators presented in this section can be overloaded in C# as well. In languages that do not support operator overloading, you will have to make these into regular functions.

How to do it…

Follow these steps to override common operators for the vector class. This will make working with vectors feel more intuitive:

  1. In vectors.h, add the following function declarations:
    vec2 operator+(const vec2& l, const vec2& r);
    vec3 operator+(const vec3& l, const vec3& r);
    vec2 operator-(const vec2& l, const vec2& r);
    vec3 operator-(const vec3& l, const vec3& r);
    vec2 operator*(const vec2& l, const vec2& r);
    vec3 operator*(const vec3& l, const vec3& r);
    vec2 operator*(const vec2& l, float r);
    vec3 operator*(const vec3& l, float r);
    bool operator==(const vec2& l, const vec2& r);
    bool operator==(const vec3& l, const vec3& r);
    bool operator!=(const vec2& l, const vec2& r);
    bool operator!=(const vec3& l, const vec3& r);
  2. Create a new C++ source file, vectors.cpp. Include the following headers in the new file:
    #include "vectors.h"
    #include <cmath>
    #include <cfloat>
  3. Add a macro for comparing floating point numbers to vectors.cpp:
    #define CMP(x, y)                    \
        (fabsf((x)–(y)) <= FLT_EPSILON * \
          fmaxf(1.0f,                    \
          fmaxf(fabsf(x), fabsf(y)))     \
       )
  4. Add the implementation of vector addition to the vectors.cpp file:
    vec2 operator+(const vec2& l, const vec2& r) {
       return { l.x + r.x, l.y + r.y };
    }
    
    vec3 operator+(const vec3& l, const vec3& r) {
       return { l.x + r.x, l.y + r.y, l.z + r.z };
    }
  5. Add the implementation of vector subtraction to the vectors.cpp file:
    vec2 operator-(const vec2& l, const vec2& r) {
       return { l.x - r.x, l.y - r.y };
    }
    
    vec3 operator-(const vec3& l, const vec3& r) {
       return { l.x - r.x, l.y - r.y, l.z - r.z };
    }
  6. Add the implementation for vector multiplication to the vectors.cpp file:
    vec2 operator*(const vec2& l, const vec2& r) {
       return { l.x * r.x, l.y * r.y };
    }
    
    vec3 operator*(const vec3& l, const vec3& r) {
       return { l.x * r.x, l.y * r.y, l.z * r.z };
    }
  7. Add the implementation for scalar multiplication to the vectors.cpp file:
    vec2 operator*(const vec2& l, float r) {
       return { l.x * r, l.y * r };
    }
    
    vec3 operator*(const vec3& l, float r) {
       return { l.x * r, l.y * r, l.z * r };
    }
  8. Finally, add the implementation for vector equality to the vectors.cpp file. This is where the compare macro we created in step 3 comes in:
    bool operator==(const vec2& l, const vec2& r) { 
       return CMP(l.x, r.x) && CMP(l.y, r.y);
    }
    
    bool operator==(const vec3& l, const vec3& r) {
       return CMP(l.x, r.x) && CMP(l.y, r.y) && CMP(l.z, r.z);
    }
    
    bool operator!=(const vec2& l, const vec2& r) {
       return !(l == r);
    }
    
    bool operator!=(const vec3& l, const vec3& r) {
       return !(l == r);
    }

How it works…

What these components-wise operations are doing might not be obvious from the definitions and code provided alone. Let's explore the component-wise operations of vectors visually.

Addition

Every vector describes a series of displacements. For example, the vector (2, 3) means move two units in the positive X direction and three units in the positive Y direction. We add vectors by following the series of displacements that each vector represents. To visualize this, given vectors Addition and Addition, draw them so the head of Additiontouches the tail of Addition The result of the addition is a new vector spanning from the tail of Addition to the head of Addition:

Addition

Subtraction

Subtraction works the same way as addition. We have to follow the negative displacement of vector Subtraction starting from vector Subtraction. To visually subtract vectors Subtraction and Subtraction, draw Subtraction and Subtraction with their tails touching. The result of the subtraction is a vector spanning from the head of Subtraction to the head of Subtraction:

Subtraction

A more intuitive way to visualize subtraction might be to think of it as adding negative Subtraction toSubtraction, like so; Subtraction. If we represent the subtraction like this, visually we can follow the rules of addition:

Subtraction

In the above image, the vector Subtractionappears multiple times. This is to emphasize that the position of a vector does not matter. Both of the Subtraction vectors above represent the same displacement!

Multiplication (Vector and Scalar)

Multiplying a vector by a scalar will scale the vector. This is easy to see when we visualize the result of a multiplication. The scalar multiplication of a vector will result in a uniform scale, where all components of the vector are scaled by the same amount. Multiplying two vectors on the other hand results in a non-uniform scale. This just means that each component of the vector is scaled by the corresponding component of the other vector:

Multiplication (Vector and Scalar)

Comparison

Comparing vectors is a component-wise operation. If every component of each vector is the same, the vectors are equal. However, due to floating point error we can't compare floats directly. Instead, we must do an epsilon comparison. Epsilon tests commonly fall in one of two categories: absolute tolerance and relative tolerance:

#define ABSOLUTE(x, y) (fabsf((x)–(y)) <= FLT_EPSILON)
#define RELATIVE(x, y) \
(fabsf((x) – (y)) <= FLT_EPSILON * Max(fabsf(x), fabsf(y)))

The absolute tolerance test fails when the numbers being compared are large. The relative tolerance test fails when the numbers being compared are small. Because of this, we implemented a tolerance test with the CMP macro that combines the two. The logic behind the CMP macro is described by Christer Ericson at www.realtimecollisiondetection.net/pubs/Tolerances.

There's more…

It's desirable to make vectors easy to construct in code. We can achieve this by adding default constructors. Each vector should have two constructors: one that takes no arguments and one that takes a float for each component of the vector. We do not need a copy constructor or assignment operator as the vec2 and vec3 structures do not contain any dynamic memory or complex data. The pair of constructors for the vec2 structure will look like this:

vec2() : x(0.0f), y(0.0f) { }
vec2(float _x, float _y) : x(_x), y(_y) { }

The vec3 constructors will look similar, it adds an additional component. The constructors for the vec3 structure will look like this:

vec3() : x(0.0f), y(0.0f), z(0.0f) { }
vec3(float _x, float _y, float _z) : x(_x), y(_y), z(_z) { }

Dot product

The dot product, sometimes referred to as scalar product or inner product between two vectors, returns a scalar value. It's written as a dot between two vectors, Dot product. The formula for the dot product is defined as follows:

Dot product

The sigma symbol Dot product means sum (add) everything up that follows. The number on top of the sigma is the upper limit; the variable on the bottom is the lower limit. If n and i is 0, the subscripts 0, 1, and 2 are processed. Without using the sigma symbol, the preceding equation would look like this:

Dot product

The resulting scalar represents the directional relation of the vectors. That is, Dot product represents how much Dot product is pointing in the direction of Dot product. Using the dot product we can tell if two vectors are pointing in the same direction or not following these rules:

  • If the dot product is positive, the vectors are pointing in the same direction
  • If the dot product is negative, the vectors point in opposing directions
  • If the dot product is 0, the vectors are perpendicular

How to do it…

Follow these steps to implement the dot product for two and three dimensional vectors:

  1. Add the declaration for the dot product to vectors.h:
    float Dot(const vec2& l, const vec2& r);
    float Dot(const vec3& l, const vec3& r);
  2. Add the implementation for the dot product to vector.cpp:
    float Dot(const vec2& l, const vec2& r) {
       return l.x * r.x + l.y * r.y;
    }
    
    float Dot(const vec3& l, const vec3& r) {
       return l.x * r.x + l.y * r.y + l.z * r.z;
    }

How it works…

Given the formula and the code for the dot product, let's see an example of what we could use it for. Assume we have a spaceship S. We know its forward vector, How it works… and a vector that points to its right, How it works…:

How it works…

We also have an enemy ship E, and a vector that points from our ship S to the enemy ship E, vector How it works…:

How it works…

How can we tell if the the ship S needs to turn left or right to face the enemy ship E?

We need to take the dot product of How it works… and How it works…. If the result of the dot product is positive, the ship needs to turn right. If the result of the dot product is negative, the ship needs to turn to the left. If the result of the dot product is 0, the ship does not need to turn.

There's more…

Our definition of the dot product is fairly abstract. We know that the dot product gives us some information as to the angle between the two vectors, There's more… and There's more…. We can use the dot product to find the exact angle between these two vectors. The key to this is an alternate definition of the dot product.

Geometric definition

Given the vectors Geometric definition and Geometric definition, the geometric definition of the dot product is the length of Geometric definition multiplied by the length of Geometric definition multiplied by the cosine of the angle between them:

Geometric definition

The || operator in the above equation means length and will be covered in the next section. We will cover the geometric definition and other properties of the dot product later in this chapter.

Magnitude

The magnitude or length of a vector is written as the letter of the vector surrounded by two bars, Magnitude. The magnitude of a vector is the square root of the dot product of the vector with itself:

Magnitude

In addition to implementing the magnitude function, we're also going to implement a magnitude squared function. The formula is the same, but it avoids the expensive square root operation:

Magnitude

In games we often compare the magnitude of a vector to known numbers; however, doing a comparison between a number and the magnitude is expensive because of the square root operation. A simple solution to this problem is to square the number, and then compare against square magnitude. This means, instead of the following:

if (Magnitude(someVector) < 5.0f) {

We could instead write the following:

if (MagnitudeSq(someVector) < 5.0f * 5.0f) {

We'd then get the same result, avoiding the expensive square root operation.

Getting ready

To find the magnitude of a vector, take the square root of the vector's dot product with its-self. The square root operation is a relatively expensive one that should be avoided whenever possible. For this reason, we are also going to implement a function to find the square magnitude of a vector.

How to do it…

Follow these steps to implement a function for finding the length and squared length of two and three dimensional vectors.

  1. Add the declaration for magnitude and magnitude squared to vectors.h:
    float Magnitude(const vec2& v);
    float Magnitude(const vec3& v);
    
    float MagnitudeSq(const vec2& v);
    float MagnitudeSq(const vec3& v);
  2. Add the implementation for these functions to vectors.cpp:
    float Magnitude(const vec2& v) {
       return sqrtf(Dot(v, v));
    }
    
    float Magnitude(const vec3& v) {
       return sqrtf(Dot(v, v));
    }
    
    float MagnitudeSq(const vec2& v) {
       return Dot(v, v);
    }
    
    float MagnitudeSq(const vec3& v) {
       return Dot(v, v);
    }

How it works…

We can derive the equation for the magnitude of a vector from the geometric definition of the dot product that we briefly looked at in the last section:

How it works…

Because we are taking the dot product of the vector with itself, we know the test vectors point in the same direction; they are co-directional. Because the vectors being tested are co-directional, the angle between them is 0. The cosine of 0 is 1, meaning the How it works… part of the equation can be eliminated, leaving us with the following:

How it works…

If both the test vectors are the same (which in our case they are) the equation can be written using only How it works…:

How it works…

We can rewrite the preceding equation, taking the square root of both sides to find the length of vector How it works…:

How it works…

There's more…

The magnitude of a vector can be used to find the distance between two points. Assuming we have points There's more… and There's more…, we can find a vector (There's more…) that connects them by subtracting There's more…from There's more…, as shown in the following diagram:

There's more…

The distance between the two points is the length of There's more…. This could be expressed in code as follows:

float Distance(const vec3& p1, const vec3& p2) {
   vec3 t = p1 - p2;
   return Magnitude(t);
}

Normalizing

A vector with a magnitude of 1 is a normal vector, sometimes called a unit vector. Whenever a vector has a length of 1, we can say that it has unit length. A normal vector is written as the letter of the vector with a caret symbol on top instead of an arrow, Normalizing. We can normalize any vector by dividing each of its components by the length of the vector:

Normalizing

We never implemented division operators for the vector class. We can rewrite the preceding equation as reciprocal multiplication. This means we can obtain the normal of a vector if we multiply that vector by the inverse of its length:

Normalizing

Getting ready

We are going to implement two functions, Normalize and Normalized. The first function will change the input vector to have a length of 1. The second function will not change the input vector; rather it will return a new vector with a length of 1.

How to do it…

Follow these steps to implement functions which will make a vector unit length or return a unit length vector. These steps utilize reciprocal multiplication.

  1. Declare the Normalize and Normalized functions in vectors.h:
    void Normalize(vec2& v);
    void Normalize(vec3& v);
    
    vec2 Normalized(const vec2& v);
    vec3 Normalized(const vec3& v);
  2. Add the implementation of these functions to vectors.cpp:
    void Normalize(vec2& v) {
       v = v * (1.0f / Magnitude(v));
    }
    
    void Normalize(vec3& v) {
       v = v * (1.0f / Magnitude(v));
    }
    
    vec2 Normalized(const vec2& v) {
       return v * (1.0f / Magnitude(v));
    }
    
    vec3 Normalized(const vec3& v) {
       return v * (1.0f / Magnitude(v));
    }

How it works…

Normalizing works by scaling the vector by the inverse of its length. This scale makes the vector have unit length, which is a length of 1. Unit vectors are special as any number multiplied by 1 stays the same number. This makes unit vectors ideal for representing a direction. If a direction has unit length, scaling it by some velocity becomes trivial.

Cross product

The cross product is written as a X between two vectors, Cross product. It returns a new vector that is perpendicular to both vectors Cross product and Cross product. That is, the result of the cross product points 90 degrees from both vectors.

The cross product is defined only for three-dimensional vectors. This is because any two non-parallel vectors form a plane, and there will always exist a line perpendicular to that plane. As such, we will only be implementing the cross product for the vec3 structure.

The equation of the cross product is as follows:

Cross product

Getting ready

The formula behind the cross product seems large and complicated. We're going to implement a pattern in code that hopefully will make remembering this formula easy.

How to do it…

The cross product is only well defined for three dimensional vectors. Follow these steps to implement the cross product in an intuitive way:

  1. Add the declaration for the cross product to vectors.h:
    vec3 Cross(const vec3& l, const vec3& r);
  2. Start the implementation in vectors.cpp:
    vec3 Cross(const vec3& l, const vec3& r) {
       vec3 result;
       // We will add more code here
       return resut;
    }
  3. Start by listing out the x, y, and z components of the result in a column:
    vec3 Cross(const vec3& l, const vec3& r) {
       vec3 result;
       result.x = /* Will finish in step 6 */
       result.y = /* Will finish in step 6 */
       result.z = /* Will finish in step 6 */
       return resut;
    }
  4. Flesh out the first row by multiplying l.y and r.z. Notice how the first column contains x, y, and z components in order and so does the first row:
    vec3 Cross(const vec3& l, const vec3& r) {
       vec3 result;
       result.x = l.y * r.z /* Will finish in step 6 */
       result.y = /* Will finish in step 6 */
       result.z = /* Will finish in step 6 */
       return resut;
    }
  5. Follow the x, y, z pattern for the rest of the rows. Start each row with the appropriate letter following the letter of the first column:
    vec3 Cross(const vec3& l, const vec3& r) {
       vec3 result;
       result.x = l.y * r.z /* Will finish in step 6 */
       result.y = l.z * r.x /* Will finish in step 6 */
       result.z = l.x * r.y /* Will finish in step 6 */
       return resut;
    }
  6. Finally, complete the function by subtracting the mirror components of the multiplication from each row:
    vec3 Cross(const vec3& l, const vec3& r) {
       vec3 result;
       result.x = l.y * r.z - l.z * r.y;
       result.y = l.z * r.x - l.x * r.z;
       result.z = l.x * r.y - l.y * r.x;
       return resut; // Done
    }

How it works…

We're going to explore the cross product using three normal vectors that we know to be perpendicular. Let vector How it works…, How it works…, and How it works… represents the basis of How it works…, three-dimensional space. This means we define the vectors as follows:

  • How it works… points right; it is of unit length on the x axis: How it works…
  • How it works… points up; it is of unit length on the y axis: How it works…
  • How it works… points forward; it is of unit length on the z axis: How it works…

Each of these vectors are orthogonal to each other, meaning they are 90 degrees apart. This makes all of the following statements about the cross product true:

  • Right X Up = Forward, How it works…
  • Up X Forward = Right, How it works…
  • Forward X Right = Up, How it works…

The cross product is not cumulative, How it works…is not the same as How it works…. Let's see what happens if we flip the operands of the preceding formulas:

  • Up X Right = Backward, How it works…
  • Forward X Up = Left, How it works…
  • Right X Forward = Down, How it works…

Matrices will be covered in the next chapter, if this section is confusing, I suggest re-reading it after the next chapter. One way to evaluate the cross product is to construct a 3x3 matrix. The top row of the matrix consists of vector How it works…, How it works…, and How it works… . The next row comprises the components of the vector on the left side of the cross product, and the final row comprises the components of the vector on the right side of the cross product. We can then find the cross product by evaluating the pseudo-determinant of the matrix:

How it works…

We will discuss matrices and determinants in detail in Chapter 2, Matrices. For now, the preceding determinant evaluates to the following:

How it works…

The result of How it works… is a scalar, which is then multiplied by the How it works… vector. Because the How it works… vector was a unit vector on the x axis, whatever the scalar is will be in the x axis of the resulting vector. Similarly, whatever How it works… is multiplied by will only have a value on the y axis and whatever How it works… is multiplied by will only have a value on the z axis. The preceding determinant simplifies to the following:

How it works…

Angles

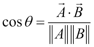
We have had a brief introduction to the angle between vectors when we discussed the dot product and the magnitude of a vector. In this recipe, we will discuss how to find the actual angle between two vectors. The formula to find angle theta between two vectors is:

Angles

Getting ready

We have already implemented both the dot product and magnitude functions for vectors; this means we have everything needed to find the angle between two vectors already written. In general, this is a very expensive function, as it performs two square roots and an inverse cosine. Because it's such an expensive function, we try to avoid it whenever possible.

We can save a little bit of performance if, instead of multiplying the length of both vectors, we multiply the squared length of the vectors and then do just one square root operation on the result.

How to do it…

  1. Add the declaration of the angle function to vectors.h:
    float Angle(const vec2& l, const vec2& r);
    float Angle(const vec3& l, const vec3& r);
  2. Provide the implementation of the angle function in vectors.cpp:
    float Angle(const vec2& l, const vec2& r) {
       float m = sqrtf(MagnitudeSq(l) * MagnitudeSq(r));
       return acos(Dot(l, r) / m);
    }
    
    float Angle(const vec3& l, const vec3& r) {
       float m = sqrtf(MagnitudeSq(l) * MagnitudeSq(r));
       return acos(Dot(l, r) / m);
    }

How it works…

This formula relies on the geometric definition of the dot product:

How it works…

This formula states that the dot product of two vectors is the cosine of the angle between them multiplied by both of their lengths. We can rewrite this formula with the cosine being isolated if we divide both sides by the product of the lengths of How it works… and How it works…:

How it works…

We can now use the inverse of cosine, the arc cosine (acos), to find the angle theta:

How it works…

There's more…

The acos function we used to find the angle between vectors comes from the standard C math library. This implementation of acos returns radians, not degrees. It's much more intuitive to think of angles in terms of degrees than radians.

Radians and degrees

Add the following macros to the top of the vectors.h header file:

#define RAD2DEG(x) ((x) * 57.295754f)
#define DEG2RAD(x) ((x) * 0.0174533f)

Using these macros you can convert between radians and degrees. For example, if you wanted to get the angle in degrees between vectors Radians and degrees and Radians and degrees, you could use the following code:

float degrees = RAD2DEG(Angle(A, B));

If you are interested in the math used to derive these numbers, I suggest watching the following Khan Academy video:

https://www.khanacademy.org/math/algebra2/trig-functions/intro-to-radians-alg2/v/introduction-to-radians

Projection

Sometimes it's useful to decompose a vector into parallel and perpendicular components with respect to another vector. Projecting Projection onto Projection will give us the length of Projection in the direction of Projection. This projection decomposes Projection into its parallel component with respect to Projection. Once we know the parallel component of Projection, we can use it to get the perpendicular component. The formula for projecting Projection onto Projection is as follows:

Projection

The perpendicular component of Projection with respect to Projection is defined as follows:

Projection

Getting ready

Implementing the projection is fairly straightforward as we already have both the dot product and magnitude squared defined. In the following function, the vector being projected is represented by the variable length, and the vector it is being projected onto is represented by the variable direction. If we compare it to the preceding formula, length is Getting ready, and direction is Getting ready.

How to do it…

Follow these steps to implement projection functions for two and three dimensional vectors. A function to get the perpendicular component of the projection is also described:

  1. Declare the projection and perpendicular functions in vectors.h:
    vec2 Project(const vec2& length, const vec2& direction);
    vec3 Project(const vec3& length, const vec3& direction);
    
    vec2 Perpendicular(const vec2& len, const vec2& dir);
    vec3 Perpendicular(const vec3& len, const vec3& dir);
  2. Add the implementation of projection to vectors.cpp:
    vec2 Project(const vec2& length, const vec2& direction) {
       float dot = Dot(length, direction);
       float magSq = MagnitudeSq(direction);
       return direction * (dot / magSq);
    }
    
    vec3 Project(const vec3& length, const vec3& direction) {
       float dot = Dot(length, direction);
       float magSq = MagnitudeSq(direction);
       return direction * (dot / magSq);
    }
  3. Add the implementation of perpendicular to vectors.cpp:
    vec2 Perpendicular(const vec2& len, const vec2& dir) {
       return len - Project(len, dir);
    }
    
    vec3 Perpendicular(const vec3& len, const vec3& dir) {
       return len - Project(len, dir);
    }

How it works…

Let's explore how projection works. Say we want to project How it works… onto How it works…, to find How it works…. Having a ' character next to a vector means prime; it's a transformed version of the vector; How it works… is pronounced A-Prime:

How it works…

From the preceding figure we see that How it works… can be found by subtracting some unknown vector from How it works…. This unknown vector is the perpendicular component of How it works… with respect to How it works…, let's call it How it works…:

How it works…

We can get the perpendicular component How it works… by subtracting the projection of How it works… onto How it works… fromHow it works…. The projection at this point is still unknown, that's what we are trying to find:

How it works…

Because How it works… points in the same direction as How it works…, we can express How it works… as scaling How it works… by some unknown scalar s, How it works…. Knowing this, the problem becomes, how do we find s?:

How it works…

The dot product of two perpendicular vectors is 0. Because of this, the dot product of How it works… and How it works… is going to be 0:

How it works…

Substitute the value of How it works… with the equation we use to find its value, How it works…:

How it works…

Finally, let's substitute How it works… with the equation we use to find its value, How it works…:

How it works…

Now the only unknown in the formula is s, let's try to find it. The dot product exhibits the distributive property, let's distribute How it works…:

How it works…

Let's start to isolate s, first we add How it works… to both sides of the equation:

How it works…

Now we can isolate s if we divide both sides of the equation by How it works…. Remember, the dot product of a vector with itself yields the square magnitude of that vector:

How it works…

Now we can solve How it works… by substituting s with the preceding formula. The final equation becomes:

How it works…

Reflection

One of the most important concepts in physics for games is collision response and how to react to a collision occurring. More often than not this involves one of the colliding objects bouncing off the other one. We can achieve the bounding through vector reflection. Reflection is also heavily used in many areas of game development, such as graphics programming, to find the color intensity of a fragment.

Given vector Reflection and normal Reflection, we want to find a vector Reflection that is Reflection reflected around Reflection:

Reflection

The reflected vector Reflection can be found with the following formula:

Reflection

Keep in mind, in the preceding equation, Reflection is a unit length vector. This means that theReflection part of the equation actually projects Reflection onto Reflection. If Reflectionwas a non-normalized vector, the preceding equation would be written as follows:

Reflection

Getting ready

Implementing the preceding formula is going to look a little different, this is because we only overloaded the vector scalar multiplication with the scalar being on the right side of the equation. We're going to implement the function assuming Getting ready is already normalized.

How to do it…

Follow these steps to implement a function which will reflect both two and three dimensional vectors.

  1. Add the declaration of the reflection function to vectors.h:
    vec2 Reflection(const vec2& vec, const vec2& normal);
    vec3 Reflection(const vec3& vec, const vec3& normal);
  2. Add the implementation of the reflection function to vectors.cpp:
    vec2 Reflection(const vec2& vec,const vec2& normal) {
       float d = Dot(vec, normal);
       return sourceVector - normal * (d * 2.0f );
    }
    
    vec3 Reflection(const vec3& vec, const vec3& normal) {
       float d = Dot(vec, normal);
       return sourceVector - normal * (d * 2.0f);
    }

How it works…

Given How it works… and How it works…, we're going to find How it works…, which is the reflection of How it works… around How it works…:

How it works…

First, we project How it works… onto How it works…, this operation will yield a vector along How it works… that has the length of How it works…:

How it works…

We want to find the reflected vector How it works…. The following figure shows How it works… in two places, remember it doesn't matter where you draw a vector as long as its components are the same:

How it works…

Looking at the preceding figure, we can tell that subtracting How it works… from How it works… will result in How it works…:

How it works…

This is how we get to the final formula, How it works….

Left arrow icon Right arrow icon
Download code icon Download Code

Key benefits

  • Get a comprehensive coverage of techniques to create high performance collision detection in games
  • Learn the core mathematics concepts and physics involved in depicting collision detection for your games
  • Get a hands-on experience of building a rigid body physics engine

Description

Physics is really important for game programmers who want to add realism and functionality to their games. Collision detection in particular is a problem that affects all game developers, regardless of the platform, engine, or toolkit they use. This book will teach you the concepts and formulas behind collision detection. You will also be taught how to build a simple physics engine, where Rigid Body physics is the main focus, and learn about intersection algorithms for primitive shapes. You’ll begin by building a strong foundation in mathematics that will be used throughout the book. We’ll guide you through implementing 2D and 3D primitives and show you how to perform effective collision tests for them. We then pivot to one of the harder areas of game development—collision detection and resolution. Further on, you will learn what a Physics engine is, how to set up a game window, and how to implement rendering. We’ll explore advanced physics topics such as constraint solving. You’ll also find out how to implement a rudimentary physics engine, which you can use to build an Angry Birds type of game or a more advanced game. By the end of the book, you will have implemented all primitive and some advanced collision tests, and you will be able to read on geometry and linear Algebra formulas to take forward to your own games!

Who is this book for?

This book is for beginner to intermediate game developers. You don’t need to have a formal education in games—you can be a hobbyist or indie developer who started making games with Unity 3D.

What you will learn

  • Implement fundamental maths so you can develop solid game physics
  • Use matrices to encode linear transformations
  • Know how to check geometric primitives for collisions
  • Build a Physics engine that can create realistic rigid body behavior
  • Understand advanced techniques, including the Separating Axis Theorem
  • Create physically accurate collision reactions
  • Explore spatial partitioning as an acceleration structure for collisions
  • Resolve rigid body collisions between primitive shapes

Product Details

Country selected
Publication date, Length, Edition, Language, ISBN-13
Publication date : Mar 24, 2017
Length: 480 pages
Edition : 1st
Language : English
ISBN-13 : 9781787120815
Vendor :
Unity Technologies
Languages :
Concepts :
Tools :

What do you get with eBook?

Product feature icon Instant access to your Digital eBook purchase
Product feature icon Download this book in EPUB and PDF formats
Product feature icon Access this title in our online reader with advanced features
Product feature icon DRM FREE - Read whenever, wherever and however you want
Product feature icon AI Assistant (beta) to help accelerate your learning
Modal Close icon
Payment Processing...
tick Completed

Billing Address

Product Details

Publication date : Mar 24, 2017
Length: 480 pages
Edition : 1st
Language : English
ISBN-13 : 9781787120815
Vendor :
Unity Technologies
Languages :
Concepts :
Tools :

Packt Subscriptions

See our plans and pricing
Modal Close icon
$19.99 billed monthly
Feature tick icon Unlimited access to Packt's library of 7,000+ practical books and videos
Feature tick icon Constantly refreshed with 50+ new titles a month
Feature tick icon Exclusive Early access to books as they're written
Feature tick icon Solve problems while you work with advanced search and reference features
Feature tick icon Offline reading on the mobile app
Feature tick icon Simple pricing, no contract
$199.99 billed annually
Feature tick icon Unlimited access to Packt's library of 7,000+ practical books and videos
Feature tick icon Constantly refreshed with 50+ new titles a month
Feature tick icon Exclusive Early access to books as they're written
Feature tick icon Solve problems while you work with advanced search and reference features
Feature tick icon Offline reading on the mobile app
Feature tick icon Choose a DRM-free eBook or Video every month to keep
Feature tick icon PLUS own as many other DRM-free eBooks or Videos as you like for just $5 each
Feature tick icon Exclusive print discounts
$279.99 billed in 18 months
Feature tick icon Unlimited access to Packt's library of 7,000+ practical books and videos
Feature tick icon Constantly refreshed with 50+ new titles a month
Feature tick icon Exclusive Early access to books as they're written
Feature tick icon Solve problems while you work with advanced search and reference features
Feature tick icon Offline reading on the mobile app
Feature tick icon Choose a DRM-free eBook or Video every month to keep
Feature tick icon PLUS own as many other DRM-free eBooks or Videos as you like for just $5 each
Feature tick icon Exclusive print discounts

Frequently bought together


Stars icon
Total $ 158.97
Game Physics Cookbook
$54.99
Game Development Patterns and Best Practices
$48.99
Practical Game AI Programming
$54.99
Total $ 158.97 Stars icon

Table of Contents

18 Chapters
1. Vectors Chevron down icon Chevron up icon
2. Matrices Chevron down icon Chevron up icon
3. Matrix Transformations Chevron down icon Chevron up icon
4. 2D Primitive Shapes Chevron down icon Chevron up icon
5. 2D Collisions Chevron down icon Chevron up icon
6. 2D Optimizations Chevron down icon Chevron up icon
7. 3D Primitive Shapes Chevron down icon Chevron up icon
8. 3D Point Tests Chevron down icon Chevron up icon
9. 3D Shape Intersections Chevron down icon Chevron up icon
10. 3D Line Intersections Chevron down icon Chevron up icon
11. Triangles and Meshes Chevron down icon Chevron up icon
12. Models and Scenes Chevron down icon Chevron up icon
13. Camera and Frustum Chevron down icon Chevron up icon
14. Constraint Solving Chevron down icon Chevron up icon
15. Manifolds and Impulses Chevron down icon Chevron up icon
16. Springs and Joints Chevron down icon Chevron up icon
A. Advanced Topics Chevron down icon Chevron up icon
Index Chevron down icon Chevron up icon

Customer reviews

Rating distribution
Full star icon Full star icon Full star icon Full star icon Half star icon 4.3
(4 Ratings)
5 star 50%
4 star 25%
3 star 25%
2 star 0%
1 star 0%
Billy Feb 26, 2019
Full star icon Full star icon Full star icon Full star icon Full star icon 5
Good book.Now I can build my flight simulator
Amazon Verified review Amazon
Jonathan Jul 22, 2017
Full star icon Full star icon Full star icon Full star icon Full star icon 5
This is is a great book. They say you can’t judge a book by its cover. I say you can judge it by its source code. I bought two other game physics books and this is the only one I successfully converted to C for Mac while reading through it. I searched Google for game physics source code and found this book’s source code on GitHub. I learned the hard way that if you can’t download the source code and the code in the book is not complete don’t buy it! The only thing I would change is to get rid of the 2D chapters and replace them with terrain and plane collision response recipes later on. Also, there are a ton of typos in the recipe descriptions, but the book’s formulas and code worked fine. And I always had the GiHub source code download to refer back to. Note that in the book it mostly explains how to get the physics working and not the OpenGL graphics. However, the GitHub download should have working OpenGL code. If you are looking for a good game physics book, Game Physics Cookbook is the one to buy.
Amazon Verified review Amazon
Persnickety Sep 26, 2017
Full star icon Full star icon Full star icon Full star icon Empty star icon 4
If you are new to computer physics programming then this is a must have book. It keeps things simple and direct. Explanations are well done and the math is kept simple. I combined this with the "real time collision detection" book and feel like I have a good grounding in the 3d game physics area. Both books tend to focus on basic shapes and their interactions but also give plenty of good info on using those basic shapes to build more sophisticated physical interactions. Where this books falls short is in the 2D area, and this is the reason I took away 1/2 star. In one place the 2D code uses a point slope form of the line to compute an intersection and introduces a divide by zero error directly in the code. The other 1/2 star is taken away due to numerous coding errors and inconsistencies throughout the text. Also the errata for the book is practically nil.But don't let that put you off: the book is an excellent intro to physics programming in general.
Amazon Verified review Amazon
John Hague Dec 14, 2020
Full star icon Full star icon Full star icon Empty star icon Empty star icon 3
Whilst this book provides a useful revision for game industry techniques, this edition cannot be recommended to new starters in the field. This is because this edition is packed with typos and mistakes in both text and code snippets. You must use the GitHub code in conjunction to review and iron out these mistakes: which is a disappointing lack of attention to detail before the book went to press.
Amazon Verified review Amazon
Get free access to Packt library with over 7500+ books and video courses for 7 days!
Start Free Trial

FAQs

How do I buy and download an eBook? Chevron down icon Chevron up icon

Where there is an eBook version of a title available, you can buy it from the book details for that title. Add either the standalone eBook or the eBook and print book bundle to your shopping cart. Your eBook will show in your cart as a product on its own. After completing checkout and payment in the normal way, you will receive your receipt on the screen containing a link to a personalised PDF download file. This link will remain active for 30 days. You can download backup copies of the file by logging in to your account at any time.

If you already have Adobe reader installed, then clicking on the link will download and open the PDF file directly. If you don't, then save the PDF file on your machine and download the Reader to view it.

Please Note: Packt eBooks are non-returnable and non-refundable.

Packt eBook and Licensing When you buy an eBook from Packt Publishing, completing your purchase means you accept the terms of our licence agreement. Please read the full text of the agreement. In it we have tried to balance the need for the ebook to be usable for you the reader with our needs to protect the rights of us as Publishers and of our authors. In summary, the agreement says:

  • You may make copies of your eBook for your own use onto any machine
  • You may not pass copies of the eBook on to anyone else
How can I make a purchase on your website? Chevron down icon Chevron up icon

If you want to purchase a video course, eBook or Bundle (Print+eBook) please follow below steps:

  1. Register on our website using your email address and the password.
  2. Search for the title by name or ISBN using the search option.
  3. Select the title you want to purchase.
  4. Choose the format you wish to purchase the title in; if you order the Print Book, you get a free eBook copy of the same title. 
  5. Proceed with the checkout process (payment to be made using Credit Card, Debit Cart, or PayPal)
Where can I access support around an eBook? Chevron down icon Chevron up icon
  • If you experience a problem with using or installing Adobe Reader, the contact Adobe directly.
  • To view the errata for the book, see www.packtpub.com/support and view the pages for the title you have.
  • To view your account details or to download a new copy of the book go to www.packtpub.com/account
  • To contact us directly if a problem is not resolved, use www.packtpub.com/contact-us
What eBook formats do Packt support? Chevron down icon Chevron up icon

Our eBooks are currently available in a variety of formats such as PDF and ePubs. In the future, this may well change with trends and development in technology, but please note that our PDFs are not Adobe eBook Reader format, which has greater restrictions on security.

You will need to use Adobe Reader v9 or later in order to read Packt's PDF eBooks.

What are the benefits of eBooks? Chevron down icon Chevron up icon
  • You can get the information you need immediately
  • You can easily take them with you on a laptop
  • You can download them an unlimited number of times
  • You can print them out
  • They are copy-paste enabled
  • They are searchable
  • There is no password protection
  • They are lower price than print
  • They save resources and space
What is an eBook? Chevron down icon Chevron up icon

Packt eBooks are a complete electronic version of the print edition, available in PDF and ePub formats. Every piece of content down to the page numbering is the same. Because we save the costs of printing and shipping the book to you, we are able to offer eBooks at a lower cost than print editions.

When you have purchased an eBook, simply login to your account and click on the link in Your Download Area. We recommend you saving the file to your hard drive before opening it.

For optimal viewing of our eBooks, we recommend you download and install the free Adobe Reader version 9.

Modal Close icon
Modal Close icon