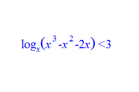
Try to solve the problem by yourself. Check next week for UMS solution.
Blog
Inequality
部落格
Inequality
Blog
Inequality
Блог
Inequality
Blog
Inequality
Blog
Inequality
בלוג
Inequality
Blogue
Inequality
Blog
Inequality
Blog
Inequality
Inequality
read more
Problem of the week 03/08/2021
Try to solve the problem by yourself. Check next week for UMS solution.
Problem of the week 12/10/2015
Try to solve the problem by yourself. Check next week for UMS solution.
Problem of the week 11/24/2015
Try to solve the problem by yourself. Check next week for UMS solution.
Problem of the week 11/16/2015
Try to solve the problem by yourself. Check next week for UMS solution.
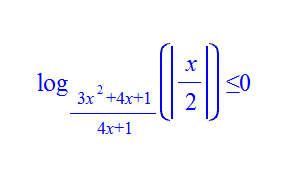
Problem of the week 10/29/2015
Solve an advanced Exponential Inequality. Check the UMS solution next week.
Categories
Catégories
Рубрики
Categorieën
Kategorien
Categorie
Categorías
קטגוריות
Kategoriler
分类
Tags
Étiquettes
Tags
Tags
Tags
Tags
Tags
תגיות
Tags
标签
For Windows OS
pour Windows
для Windows OS
voor Windows
für Windows Betriebssysteme
per Windows OS
para Windows OS
למערכת הפעלה ווינדוס
Windows İşletim Sistemi için
操作系统:Windows OS















