Try to solve the problem by yourself. Check next week for UMS solution.
Blog
部落格
Blog
Блог
Blog
Blog
בלוג
Blogue
Blog
Blog
Algebra
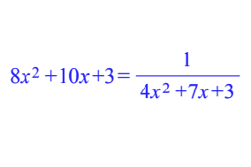
Problem of the week 03/08/2021
Try to solve the problem by yourself. Check next week for UMS solution.
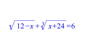
Problem of the week 04/28/2020
Try to solve the problem by yourself. Check next week for UMS solution.
Problem of the week 11/15/2019
Try to solve the problem by yourself. Check next week for UMS solution.
Problem of the week 01/25/2019
Try to solve the problem by yourself. Check next week for UMS solution.
Problem of the week 01/11/2017
Try to solve the problem by yourself. Check next week for UMS solution.
Problem of the week 09/27/2016
Try to solve the problem by yourself. Check next week for UMS solution.
Problem of the week 06/29/2016
Try to solve the problem by yourself. Check next week for UMS solution.
Problem of the week 05/24/2016
Try to solve the problem by yourself. Check next week for UMS solution.
Problem of the week 05/06/2016
Try to solve the problem by yourself. Check next week for UMS solution.
Categories
Catégories
Рубрики
Categorieën
Kategorien
Categorie
Categorías
קטגוריות
Kategoriler
分类
Tags
Étiquettes
Tags
Tags
Tags
Tags
Tags
תגיות
Tags
标签
For Windows OS
pour Windows
для Windows OS
voor Windows
für Windows Betriebssysteme
per Windows OS
para Windows OS
למערכת הפעלה ווינדוס
Windows İşletim Sistemi için
操作系统:Windows OS



















