The Law of Harmony: Is your body in sync with the Universe? Could the same laws that govern the orbits of planets also determine our ideal weight and our longevity? Is there a Harmony in the Universe? We answer these and other fascinating questions in this article....
Blog
部落格
Blog
Блог
Blog
Blog
בלוג
Blogue
Blog
Blog
Mathematical confirmation of the connection between the pyramid of Khufu (Giza) and Mars
The head of the UMS project, Doctor of Physical and Mathematical Sciences Stanislav Kublanovsky, formulated the “Law of Harmony,” which assigns any physical body a special temporal characteristic — the gravitational period — based on its size R and mass M: (G is the...
New formula for obtaining prime numbers with examples
New formula for obtaining prime numbers with examples (related to the queens placement problem and the millennium problem) has been formulated: Are there infinitely many primes of form (Kublanovsky Primes Problem )? This is a generalization of Mersenne Primes...
New explicit solution to the N-Queens problem and its relation to the Millennium problem
Abstract. Using modular arithmetic of the ring Zn+1 we obtain a new short solution to the problem of existence of at least one solution to the N-Queens problem on an N × N chessboard. It was proved, that these solutions can be represented as the Queen...
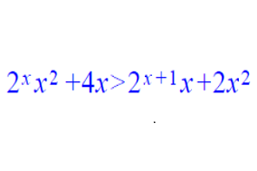
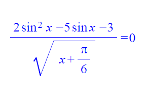
Problem of the week 03/07/2025
Try to solve the problem by yourself. Check next week for UMS solution.
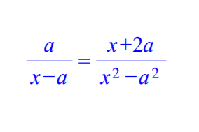
Problem of the week 11/06/2022
Try to solve the problem by yourself. Check next week for UMS solution.
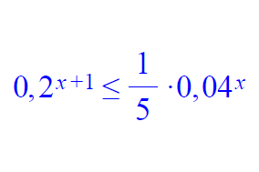
Problem of the week 07/05/2022
Try to solve the problem by yourself. Check next week for UMS solution.
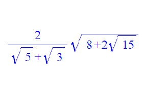
Problem of the week 03/08/2021
Try to solve the problem by yourself. Check next week for UMS solution.
Problem of the week 05/20/2020
Try to solve the problem by yourself. Check next week for UMS solution.
Problem of the week 04/28/2020
Try to solve the problem by yourself. Check next week for UMS solution.
Categories
Catégories
Рубрики
Categorieën
Kategorien
Categorie
Categorías
קטגוריות
Kategoriler
分类
Tags
Étiquettes
Tags
Tags
Tags
Tags
Tags
תגיות
Tags
标签
For Windows OS
pour Windows
для Windows OS
voor Windows
für Windows Betriebssysteme
per Windows OS
para Windows OS
למערכת הפעלה ווינדוס
Windows İşletim Sistemi için
操作系统:Windows OS



















