Differential Logic • 14

Field Picture

Let us summarize the outlook on differential logic we’ve reached so far.  We’ve been considering a class of operators on universes of discourse, each of which takes us from considering one universe of discourse X^\bullet to considering a larger universe of discourse \mathrm{E}X^\bullet.  An operator \mathrm{W} of that general type, namely, \mathrm{W} : X^\bullet \to \mathrm{E}X^\bullet, acts on each proposition f : X \to \mathbb{B} of the source universe {X^\bullet} to produce a proposition \mathrm{W}f : \mathrm{E}X \to \mathbb{B} of the target universe \mathrm{E}X^\bullet.

The operators we’ve examined so far are the enlargement or shift operator \mathrm{E} : X^\bullet \to \mathrm{E}X^\bullet and the difference operator \mathrm{D} : X^\bullet \to \mathrm{E}X^\bullet.  The operators \mathrm{E} and \mathrm{D} act on propositions in X^\bullet, that is, propositions of the form f : X \to \mathbb{B} which amount to propositions about the subject matter of X, and they produce propositions of the form \mathrm{E}f, \mathrm{D}f : \mathrm{E}X \to \mathbb{B} which amount to propositions about specified collections of changes conceivably occurring in X.

At this point we find ourselves in need of visual representations, suitable arrays of concrete pictures to anchor our more earthy intuitions and help us keep our wits about us as we venture into ever more rarefied airs of abstraction.

One good picture comes to us by way of the field concept.  Given a space X, a field of a specified type Y over X is formed by associating with each point of X an object of type Y.  If that sounds like the same thing as a function from X to the space of things of type Y — it is nothing but — and yet it does seem helpful to vary the mental images and take advantage of the figures of speech most naturally springing to mind under the emblem of the field idea.

In the field picture a proposition f : X \to \mathbb{B} becomes a scalar field, that is, a field of values in \mathbb{B}.

For example, consider the logical conjunction pq : X \to \mathbb{B} shown in the following venn diagram.

Conjunction pq : X → B
\text{Conjunction}~ pq : X \to \mathbb{B}

Each of the operators \mathrm{E}, \mathrm{D} : X^\bullet \to \mathrm{E}X^\bullet takes us from considering propositions f : X \to \mathbb{B}, here viewed as scalar fields over X, to considering the corresponding differential fields over X, analogous to what in real analysis are usually called vector fields over X.

Resources

cc: Academia.eduCyberneticsLaws of Form • Mathstodon (1) (2)
cc: Research GateStructural ModelingSystems ScienceSyscoi

Posted in Amphecks, Animata, Boolean Algebra, Boolean Functions, C.S. Peirce, Cactus Graphs, Change, Cybernetics, Differential Calculus, Differential Logic, Discrete Dynamics, Equational Inference, Functional Logic, Gradient Descent, Graph Theory, Inquiry Driven Systems, Logic, Logical Graphs, Mathematics, Minimal Negation Operators, Propositional Calculus, Time, Visualization | Tagged , , , , , , , , , , , , , , , , , , , , , , | 2 Comments

Differential Logic • 13

Transforms Expanded over Ordinary and Differential Variables

Two views of how the difference operator \mathrm{D} acts on the set of sixteen functions f : \mathbb{B} \times \mathbb{B} \to \mathbb{B} are shown below.  Table A5 shows the expansion of \mathrm{D}f over the set \{ p, q \} of ordinary variables and Table A6 shows the expansion of \mathrm{D}f over the set \{ \mathrm{d}p, \mathrm{d}q \} of differential variables.

Difference Map Expanded over Ordinary Variables

\text{Table A5.}~ \mathrm{D}f ~\text{Expanded over Ordinary Variables}~ \{ p, q \}

Df Expanded over Ordinary Variables {p, q}

Difference Map Expanded over Differential Variables

\text{Table A6.}~ \mathrm{D}f ~\text{Expanded over Differential Variables}~ \{ \mathrm{d}p, \mathrm{d}q \}

Df Expanded over Differential Variables {dp, dq}

Resources

cc: Academia.eduCyberneticsLaws of Form • Mathstodon (1) (2)
cc: Research GateStructural ModelingSystems ScienceSyscoi

Posted in Amphecks, Animata, Boolean Algebra, Boolean Functions, C.S. Peirce, Cactus Graphs, Change, Cybernetics, Differential Calculus, Differential Logic, Discrete Dynamics, Equational Inference, Functional Logic, Gradient Descent, Graph Theory, Inquiry Driven Systems, Logic, Logical Graphs, Mathematics, Minimal Negation Operators, Propositional Calculus, Time, Visualization | Tagged , , , , , , , , , , , , , , , , , , , , , , | 3 Comments

Differential Logic • 12

Transforms Expanded over Ordinary and Differential Variables

A first view of how the shift operator \mathrm{E} acts on the set of sixteen functions f : \mathbb{B} \times \mathbb{B} \to \mathbb{B} was provided by Table A3 in the previous post, expanding the expressions of \mathrm{E}f over the set \{ p, q \} of ordinary variables.

A complementary view of the same material is provided by Table 4 below, this time expanding the expressions of \mathrm{E}f over the set \{ \mathrm{d}p, \mathrm{d}q \} of differential variables.

Enlargement Map Expanded over Differential Variables

\text{Table A4.}~ \mathrm{E}f ~\text{Expanded over Differential Variables}~ \{ \mathrm{d}p, \mathrm{d}q \}

Ef Expanded over Differential Variables {dp, dq}

Resources

cc: Academia.eduCyberneticsLaws of Form • Mathstodon (1) (2)
cc: Research GateStructural ModelingSystems ScienceSyscoi

Posted in Amphecks, Animata, Boolean Algebra, Boolean Functions, C.S. Peirce, Cactus Graphs, Change, Cybernetics, Differential Calculus, Differential Logic, Discrete Dynamics, Equational Inference, Functional Logic, Gradient Descent, Graph Theory, Inquiry Driven Systems, Logic, Logical Graphs, Mathematics, Minimal Negation Operators, Propositional Calculus, Time, Visualization | Tagged , , , , , , , , , , , , , , , , , , , , , , | 1 Comment

Differential Logic • 11

Transforms Expanded over Ordinary and Differential Variables

As promised last time, in the next several posts we’ll extend our scope to the full set of boolean functions on two variables and examine how the differential operators \mathrm{E} and \mathrm{D} act on that set.  There being some advantage to singling out the enlargement or shift operator \mathrm{E} in its own right, we’ll begin by computing \mathrm{E}f for each of the functions f : \mathbb{B} \times \mathbb{B} \to \mathbb{B}.

Enlargement Map Expanded over Ordinary Variables

We first encountered the shift operator when we imagined ourselves being in a state described by the truth of a certain proposition and contemplated the value of that proposition in various other states, as determined by a collection of differential propositions describing the steps we might take to change our state.

Restated in terms of our initial example, we imagined ourselves being in a state described by the truth of the proposition pq and contemplated the value of that proposition in various other states, as determined by the differential propositions \mathrm{d}p and \mathrm{d}q describing the steps we might take to change our state.

Those thoughts led us from the boolean function of two variables f_{8}(p, q) = pq to the boolean function of four variables \mathrm{E}f_{8}(p, q, \mathrm{d}p, \mathrm{d}q) = \texttt{(} p \texttt{,} \mathrm{d}p \texttt{)(} q \texttt{,} \mathrm{d}q \texttt{)}, as shown in the entry for f_{8} in the first three columns of Table A3.

\text{Table A3.}~ \mathrm{E}f ~\text{Expanded over Ordinary Variables}~ \{ p, q \}

Ef Expanded over Ordinary Variables {p, q}

Let’s catch a breath here and discuss the full Table next time.

Resources

cc: Academia.eduCyberneticsLaws of Form • Mathstodon (1) (2)
cc: Research GateStructural ModelingSystems ScienceSyscoi

Posted in Amphecks, Animata, Boolean Algebra, Boolean Functions, C.S. Peirce, Cactus Graphs, Change, Cybernetics, Differential Calculus, Differential Logic, Discrete Dynamics, Equational Inference, Functional Logic, Gradient Descent, Graph Theory, Inquiry Driven Systems, Logic, Logical Graphs, Mathematics, Minimal Negation Operators, Propositional Calculus, Time, Visualization | Tagged , , , , , , , , , , , , , , , , , , , , , , | 2 Comments

Differential Logic • 10

Propositional Forms on Two Variables

Tables A1 and A2 showed two ways of organizing the sixteen boolean functions or propositional forms on two variables, as expressed in several notations.  In future discussions the two Tables will be described as the Index Order and the Orbit Order of propositions, respectively, “orbits” being the usual term in mathematics for similarity classes under a group action.  For ease of comparison, here are fresh copies of both Tables on the same page.

\text{Table A1. Propositional Forms on Two Variables (Index Order)}

Table A1. Propositional Forms on Two Variables

\text{Table A2. Propositional Forms on Two Variables (Orbit Order)}

Table A2. Propositional Forms on Two Variables

Recalling the discussion up to this point, we took as our first example the boolean function f_{8}(p, q) = pq corresponding to the logical conjunction p \land q and examined how the differential operators \mathrm{E} and \mathrm{D} act on f_{8}.  Each operator takes the boolean function of two variables f_{8}(p, q) and gives back a boolean function of four variables, \mathrm{E}f_{8}(p, q, \mathrm{d}p, \mathrm{d}q) and \mathrm{D}f_{8}(p, q, \mathrm{d}p, \mathrm{d}q), respectively.

In the next several posts we’ll extend our scope to the full set of boolean functions on two variables and examine how the differential operators \mathrm{E} and \mathrm{D} act on that set.  There being some advantage to singling out the enlargement or shift operator \mathrm{E} in its own right, we’ll begin by computing \mathrm{E}f for each function f in the above Tables.

Resources

cc: Academia.eduCyberneticsLaws of Form • Mathstodon (1) (2)
cc: Research GateStructural ModelingSystems ScienceSyscoi

Posted in Amphecks, Animata, Boolean Algebra, Boolean Functions, C.S. Peirce, Cactus Graphs, Change, Cybernetics, Differential Calculus, Differential Logic, Discrete Dynamics, Equational Inference, Functional Logic, Gradient Descent, Graph Theory, Inquiry Driven Systems, Logic, Logical Graphs, Mathematics, Minimal Negation Operators, Propositional Calculus, Time, Visualization | Tagged , , , , , , , , , , , , , , , , , , , , , , | 1 Comment

Differential Logic • 9

Propositional Forms on Two Variables

Table A2 arranges the propositional forms on two variables according to another plan, sorting propositions with similar shapes into seven subclasses.  Thereby hangs many a tale, to be told in time.

\text{Table A2. Propositional Forms on Two Variables}

Table A2. Propositional Forms on Two Variables

Resources

cc: Academia.eduCyberneticsLaws of Form • Mathstodon (1) (2)
cc: Research GateStructural ModelingSystems ScienceSyscoi

Posted in Amphecks, Animata, Boolean Algebra, Boolean Functions, C.S. Peirce, Cactus Graphs, Change, Cybernetics, Differential Calculus, Differential Logic, Discrete Dynamics, Equational Inference, Functional Logic, Gradient Descent, Graph Theory, Inquiry Driven Systems, Logic, Logical Graphs, Mathematics, Minimal Negation Operators, Propositional Calculus, Time, Visualization | Tagged , , , , , , , , , , , , , , , , , , , , , , | 1 Comment

Differential Logic • 8

Propositional Forms on Two Variables

To broaden our experience with simple examples, let’s examine the sixteen functions of concrete type P \times Q \to \mathbb{B} and abstract type \mathbb{B} \times \mathbb{B} \to \mathbb{B}.  Our inquiry into the differential aspects of logical conjunction will pay dividends as we study the actions of \mathrm{E} and \mathrm{D} on this family of forms.

Table A1 arranges the propositional forms on two variables in a convenient order, giving equivalent expressions for each boolean function in several systems of notation.

\text{Table A1. Propositional Forms on Two Variables}

Table A1. Propositional Forms on Two Variables

Resources

cc: Academia.eduCyberneticsLaws of Form • Mathstodon (1) (2)
cc: Research GateStructural ModelingSystems ScienceSyscoi

Posted in Amphecks, Animata, Boolean Algebra, Boolean Functions, C.S. Peirce, Cactus Graphs, Change, Cybernetics, Differential Calculus, Differential Logic, Discrete Dynamics, Equational Inference, Functional Logic, Gradient Descent, Graph Theory, Inquiry Driven Systems, Logic, Logical Graphs, Mathematics, Minimal Negation Operators, Propositional Calculus, Time, Visualization | Tagged , , , , , , , , , , , , , , , , , , , , , , | 1 Comment

Differential Logic • 7

Differential Expansions of Propositions

Panoptic View • Enlargement Maps

The enlargement or shift operator \mathrm{E} exhibits a wealth of interesting and useful properties in its own right, so it pays to examine a few of the more salient features playing out on the surface of our initial example, f(p, q) = pq.

A suitably generic definition of the extended universe of discourse is afforded by the following set‑up.

\begin{array}{cccl}  \text{Let} & X & = & X_1 \times \ldots \times X_k.  \\[6pt]  \text{Let} & \mathrm{d}X & = & \mathrm{d}X_1 \times \ldots \times \mathrm{d}X_k.  \\[6pt]  \text{Then} & \mathrm{E}X & = & X \times \mathrm{d}X  \\[6pt]  & & = & X_1 \times \ldots \times X_k ~\times~ \mathrm{d}X_1 \times \ldots \times \mathrm{d}X_k  \end{array}

For a proposition of the form f : X_1 \times \ldots \times X_k \to \mathbb{B}, the (first order) enlargement of f is the proposition \mathrm{E}f : \mathrm{E}X \to \mathbb{B} defined by the following equation.

\mathrm{E}f(x_1, \ldots, x_k, \mathrm{d}x_1, \ldots, \mathrm{d}x_k) ~=~ f(x_1 + \mathrm{d}x_1, \ldots, x_k + \mathrm{d}x_k) ~=~ f(\texttt{(} x_1 \texttt{,} \mathrm{d}x_1 \texttt{)}, \ldots, \texttt{(} x_k \texttt{,} \mathrm{d}x_k \texttt{)})

The differential variables \mathrm{d}x_j are boolean variables of the same type as the ordinary variables x_j.  Although it is conventional to distinguish the (first order) differential variables with the operational prefix ``\mathrm{d}", that way of notating differential variables is entirely optional.  It is their existence in particular relations to the initial variables, not their names, which defines them as differential variables.

In the example of logical conjunction, f(p, q) = pq, the enlargement \mathrm{E}f is formulated as follows.

\begin{matrix}  \mathrm{E}f(p, q, \mathrm{d}p, \mathrm{d}q)  & = &  (p + \mathrm{d}p)(q + \mathrm{d}q)  & = &  \texttt{(} p \texttt{,} \mathrm{d}p \texttt{)(} q \texttt{,} \mathrm{d}q \texttt{)}  \end{matrix}

Given that the above expression uses nothing more than the boolean ring operations of addition and multiplication, it is permissible to “multiply things out” in the usual manner to arrive at the following result.

\begin{matrix}  \mathrm{E}f(p, q, \mathrm{d}p, \mathrm{d}q)  & = &  p~q  & + &  p~\mathrm{d}q  & + &  q~\mathrm{d}p  & + &  \mathrm{d}p~\mathrm{d}q  \end{matrix}

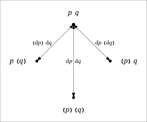
To understand what the enlarged or shifted proposition means in logical terms, it serves to go back and analyze the above expression for \mathrm{E}f in the same way we did for \mathrm{D}f.  To that end, the value of \mathrm{E}f_x at each x \in X may be computed in graphical fashion as shown below.

Cactus Graph Ef = (p,dp)(q,dq)

Cactus Graph Enlargement pq @ pq = (dp)(dq)

Cactus Graph Enlargement pq @ p(q) = (dp)dq

Cactus Graph Enlargement pq @ (p)q = dp(dq)

Cactus Graph Enlargement pq @ (p)(q) = dp dq

Collating the data of that analysis yields a boolean expansion or disjunctive normal form (DNF) equivalent to the enlarged proposition \mathrm{E}f.

\begin{matrix}  \mathrm{E}f  & = &  pq \cdot \mathrm{E}f_{pq}  & + &  p(q) \cdot \mathrm{E}f_{p(q)}  & + &  (p)q \cdot \mathrm{E}f_{(p)q}  & + &  (p)(q) \cdot \mathrm{E}f_{(p)(q)}  \end{matrix}

Here is a summary of the result, illustrated by means of a digraph picture, where the “no change” element \texttt{(} \mathrm{d}p \texttt{)(} \mathrm{d}q \texttt{)} is drawn as a loop at the point p~q.

Directed Graph Enlargement pq

\begin{array}{rcccccc}  f & = & p  & \cdot & q  \\[4pt]  \mathrm{E}f & = & p  & \cdot &  q  & \cdot &  \texttt{(} \mathrm{d}p \texttt{)(} \mathrm{d}q \texttt{)}  \\[4pt]  & + &  p  & \cdot & \texttt{(} q \texttt{)}  & \cdot &  \texttt{(} \mathrm{d}p \texttt{)} \texttt{~} \mathrm{d}q \texttt{~}  \\[4pt]  & + &  \texttt{(} p \texttt{)} & \cdot &  q  & \cdot &  \texttt{~} \mathrm{d}p \texttt{~} \texttt{(} \mathrm{d}q \texttt{)}  \\[4pt]  & + &  \texttt{(} p \texttt{)} & \cdot & \texttt{(} q \texttt{)}  & \cdot & \mathrm{d}p \texttt{~~} \mathrm{d}q  \end{array}

We may understand the enlarged proposition \mathrm{E}f as telling us all the ways of reaching a model of the proposition f from the points of the universe X.

Resources

cc: Academia.eduCyberneticsLaws of Form • Mathstodon (1) (2)
cc: Research GateStructural ModelingSystems ScienceSyscoi

Posted in Amphecks, Animata, Boolean Algebra, Boolean Functions, C.S. Peirce, Cactus Graphs, Change, Cybernetics, Differential Calculus, Differential Logic, Discrete Dynamics, Equational Inference, Functional Logic, Gradient Descent, Graph Theory, Inquiry Driven Systems, Logic, Logical Graphs, Mathematics, Minimal Negation Operators, Propositional Calculus, Time, Visualization | Tagged , , , , , , , , , , , , , , , , , , , , , , | 1 Comment

Differential Logic • 6

Differential Expansions of Propositions

Panoptic View • Difference Maps

In the previous post we computed what is variously described as the difference map, the difference proposition, or the local proposition \mathrm{D}f_x of the proposition f(p, q) = pq at the point x where p = 1 and q = 1.

In the universe of discourse X = P \times Q the four propositions pq, \, p \texttt{(} q \texttt{)}, \, \texttt{(} p \texttt{)} q, \, \texttt{(} p \texttt{)(} q \texttt{)} can be taken to indicate the so‑called “cells” or smallest distinguished regions of the universe, otherwise indicated by their coordinates as the “points” (1, 1), ~ (1, 0), ~ (0, 1), ~ (0, 0), respectively.  In that regard the four propositions are called singular propositions because they serve to single out the minimal regions of the universe of discourse.

Thus we can write \mathrm{D}f_x = \mathrm{D}f|_x = \mathrm{D}f|_{(1, 1)} = \mathrm{D}f|_{pq}, so long as we know the frame of reference in force.

In the example f(p, q) = pq, the value of the difference proposition \mathrm{D}f_x at each of the four points x \in X may be computed in graphical fashion as shown below.

Cactus Graph Df = ((p,dp)(q,dq),pq)

Cactus Graph Difference pq @ pq = ((dp)(dq))

Cactus Graph Difference pq @ p(q) = (dp)dq

Cactus Graph Difference pq @ (p)q = dp(dq)

Cactus Graph Difference pq @ (p)(q) = dp dq

The easy way to visualize the values of the above graphical expressions is just to notice the following graphical equations.

Cactus Graph Lobe Rule

Cactus Graph Spike Rule

Adding the arrows to the venn diagram gives us the picture of a differential vector field.

Venn Diagram Difference pq

The Figure shows the points of the extended universe \mathrm{E}X = P \times Q \times \mathrm{d}P \times \mathrm{d}Q indicated by the difference map \mathrm{D}f : \mathrm{E}X \to \mathbb{B}, namely, the following six points or singular propositions.

\begin{array}{rcccc}  1. & p & q & \mathrm{d}p & \mathrm{d}q  \\  2. & p & q & \mathrm{d}p & \texttt{(} \mathrm{d}q \texttt{)}  \\  3. & p & q & \texttt{(} \mathrm{d}p \texttt{)} & \mathrm{d}q  \\  4. & p & \texttt{(} q \texttt{)} & \texttt{(} \mathrm{d}p \texttt{)} & \mathrm{d}q  \\  5. & \texttt{(} p \texttt{)} & q & \mathrm{d}p & \texttt{(} \mathrm{d}q \texttt{)}   \\  6. & \texttt{(} p \texttt{)} & \texttt{(} q \texttt{)} & \mathrm{d}p & \mathrm{d}q  \end{array}

The information borne by \mathrm{D}f should be clear enough from a survey of these six points — they tell you what you have to do from each point of X in order to change the value borne by f(p, q), that is, the move you have to make in order to reach a point where the value of the proposition f(p, q) is different from what it is where you started.

We have been studying the action of the difference operator \mathrm{D} on propositions of the form f : P \times Q \to \mathbb{B}, as illustrated by the example f(p, q) = pq which is known in logic as the conjunction of p and q.  The resulting difference map \mathrm{D}f is a (first order) differential proposition, that is, a proposition of the form \mathrm{D}f : P \times Q \times \mathrm{d}P \times \mathrm{d}Q \to \mathbb{B}.

The augmented venn diagram shows how the models or satisfying interpretations of \mathrm{D}f distribute over the extended universe of discourse \mathrm{E}X = P \times Q \times \mathrm{d}P \times \mathrm{d}Q.  Abstracting from that picture, the difference map \mathrm{D}f can be represented in the form of a digraph or directed graph, one whose points are labeled with the elements of X =  P \times Q and whose arrows are labeled with the elements of \mathrm{d}X = \mathrm{d}P \times \mathrm{d}Q, as shown in the following Figure.

Directed Graph Difference pq

\begin{array}{rcccccc}  f & = & p & \cdot & q  \\[4pt]  \mathrm{D}f & = &  p & \cdot & q & \cdot &  \texttt{((} \mathrm{d}p \texttt{)(} \mathrm{d}q \texttt{))}  \\[4pt]  & + &  p & \cdot & \texttt{(} q \texttt{)} & \cdot &  \texttt{~(} \mathrm{d}p \texttt{)~} \mathrm{d}q \texttt{~~}  \\[4pt]  & + &  \texttt{(} p \texttt{)} & \cdot & q & \cdot &  \texttt{~~} \mathrm{d}p \texttt{~(} \mathrm{d}q \texttt{)~}  \\[4pt]  & + &  \texttt{(} p \texttt{)} & \cdot & \texttt{(} q \texttt{)} & \cdot &  \texttt{~~} \mathrm{d}p \texttt{~~} \mathrm{d}q \texttt{~~}  \end{array}

Any proposition worth its salt can be analyzed from many different points of view, any one of which has the potential to reveal previously unsuspected aspects of the proposition’s meaning.  We will encounter more and more such alternative readings as we go.

Resources

cc: Academia.eduCyberneticsLaws of Form • Mathstodon (1) (2)
cc: Research GateStructural ModelingSystems ScienceSyscoi

Posted in Amphecks, Animata, Boolean Algebra, Boolean Functions, C.S. Peirce, Cactus Graphs, Change, Cybernetics, Differential Calculus, Differential Logic, Discrete Dynamics, Equational Inference, Functional Logic, Gradient Descent, Graph Theory, Inquiry Driven Systems, Logic, Logical Graphs, Mathematics, Minimal Negation Operators, Propositional Calculus, Time, Visualization | Tagged , , , , , , , , , , , , , , , , , , , , , , | 1 Comment

Differential Logic • 5

Differential Expansions of Propositions

Worm’s Eye View

Let’s run through the initial example again, keeping an eye on the meanings of the formulas which develop along the way.  We begin with a proposition or a boolean function f(p, q) = pq whose venn diagram and cactus graph are shown below.

Venn Diagram f = pq

Cactus Graph f = pq

A function like f has an abstract type and a concrete type.  The abstract type is what we invoke when we write things like f : \mathbb{B} \times \mathbb{B} \to \mathbb{B} or f : \mathbb{B}^2 \to \mathbb{B}.  The concrete type takes into account the qualitative dimensions or “units” of the case, which can be explained as follows.

Let P be the set of values \{ \texttt{(} p \texttt{)},~ p \} ~=~ \{ \mathrm{not}~ p,~ p \} ~\cong~ \mathbb{B}.
Let Q be the set of values \{ \texttt{(} q \texttt{)},~ q \} ~=~ \{ \mathrm{not}~ q,~ q \} ~\cong~ \mathbb{B}.

Then interpret the usual propositions about p, q as functions of the concrete type f : P \times Q \to \mathbb{B}.

We are going to consider various operators on these functions.  An operator \mathrm{F} is a function which takes one function f into another function \mathrm{F}f.

The first couple of operators we need are logical analogues of two which play a founding role in the classical finite difference calculus, namely, the following.

The difference operator \Delta, written here as \mathrm{D}.
The enlargement operator, written here as \mathrm{E}.

These days, \mathrm{E} is more often called the shift operator.

In order to describe the universe in which these operators operate, it is necessary to enlarge the original universe of discourse.  Starting from the initial space X = P \times Q, its (first order) differential extension \mathrm{E}X is constructed according to the following specifications.

\begin{array}{rcc}  \mathrm{E}X & = & X \times \mathrm{d}X  \end{array}

where:

\begin{array}{rcc}  X & = & P \times Q  \\[4pt]  \mathrm{d}X & = & \mathrm{d}P \times \mathrm{d}Q  \\[4pt]  \mathrm{d}P & = & \{ \texttt{(} \mathrm{d}p \texttt{)}, ~ \mathrm{d}p \}  \\[4pt]  \mathrm{d}Q & = & \{ \texttt{(} \mathrm{d}q \texttt{)}, ~ \mathrm{d}q \}  \end{array}

The interpretations of these new symbols can be diverse, but the easiest option for now is just to say \mathrm{d}p means “change p” and \mathrm{d}q means “change q”.

Drawing a venn diagram for the differential extension \mathrm{E}X = X \times \mathrm{d}X requires four logical dimensions, P, Q, \mathrm{d}P, \mathrm{d}Q, but it is possible to project a suggestion of what the differential features \mathrm{d}p and \mathrm{d}q are about on the 2‑dimensional base space X = P \times Q by drawing arrows crossing the boundaries of the basic circles in the venn diagram for X, reading an arrow as \mathrm{d}p if it crosses the boundary between p and \texttt{(} p \texttt{)} in either direction and reading an arrow as \mathrm{d}q if it crosses the boundary between q and \texttt{(} q \texttt{)} in either direction, as indicated in the following figure.

Venn Diagram p q dp dq

Propositions are formed on differential variables, or any combination of ordinary logical variables and differential logical variables, in the same ways propositions are formed on ordinary logical variables alone.  For example, the proposition \texttt{(} \mathrm{d}p \texttt{(} \mathrm{d}q \texttt{))} says the same thing as \mathrm{d}p \Rightarrow \mathrm{d}q, in other words, there is no change in p without a change in q.

Given the proposition f(p, q) over the space X = P \times Q, the (first order) enlargement of f is the proposition \mathrm{E}f over the differential extension \mathrm{E}X defined by the following formula.

\begin{matrix}  \mathrm{E}f(p, q, \mathrm{d}p, \mathrm{d}q)  & = &   f(p + \mathrm{d}p,~ q + \mathrm{d}q)  & = &  f( \texttt{(} p, \mathrm{d}p \texttt{)},~ \texttt{(} q, \mathrm{d}q \texttt{)} )  \end{matrix}

In the example f(p, q) = pq, the enlargement \mathrm{E}f is computed as follows.

\begin{matrix}  \mathrm{E}f(p, q, \mathrm{d}p, \mathrm{d}q)  & = &   (p + \mathrm{d}p)(q + \mathrm{d}q)  & = &  \texttt{(} p, \mathrm{d}p \texttt{)(} q, \mathrm{d}q \texttt{)}  \end{matrix}

Cactus Graph Ef = (p,dp)(q,dq)

Given the proposition f(p, q) over X = P \times Q, the (first order) difference of f is the proposition \mathrm{D}f over \mathrm{E}X defined by the formula \mathrm{D}f = \mathrm{E}f - f, or, written out in full:

\begin{matrix}  \mathrm{D}f(p, q, \mathrm{d}p, \mathrm{d}q)  & = &   f(p + \mathrm{d}p,~ q + \mathrm{d}q) - f(p, q)  & = &  \texttt{(} f( \texttt{(} p, \mathrm{d}p \texttt{)},~ \texttt{(} q, \mathrm{d}q \texttt{)} ),~ f(p, q) \texttt{)}  \end{matrix}

In the example f(p, q) = pq, the difference \mathrm{D}f is computed as follows.

\begin{matrix}  \mathrm{D}f(p, q, \mathrm{d}p, \mathrm{d}q)  & = &   (p + \mathrm{d}p)(q + \mathrm{d}q) - pq  & = &  \texttt{((} p, \mathrm{d}p \texttt{)(} q, \mathrm{d}q \texttt{)}, pq \texttt{)}  \end{matrix}

Cactus Graph Df = ((p,dp)(q,dq),pq)

This brings us by the road meticulous to the point we reached at the end of the previous post.  There we evaluated the above proposition, the first order difference of conjunction \mathrm{D}f, at a single location in the universe of discourse, namely, at the point picked out by the singular proposition pq, in terms of coordinates, at the place where p = 1 and q = 1.  That evaluation is written in the form \mathrm{D}f|_{pq} or \mathrm{D}f|_{(1, 1)}, and we arrived at the locally applicable law which may be stated and illustrated as follows.

f(p, q) ~=~ pq ~=~ p ~\mathrm{and}~ q \quad \Rightarrow \quad \mathrm{D}f|_{pq} ~=~ \texttt{((} \mathrm{dp} \texttt{)(} \mathrm{d}q \texttt{))} ~=~ \mathrm{d}p ~\mathrm{or}~ \mathrm{d}q

Venn Diagram Difference pq @ pq

Cactus Graph Difference pq @ pq

The venn diagram shows the analysis of the inclusive disjunction \texttt{((} \mathrm{d}p \texttt{)(} \mathrm{d}q \texttt{))} into the following exclusive disjunction.

\begin{matrix}  \mathrm{d}p ~\texttt{(} \mathrm{d}q \texttt{)}  & + &  \texttt{(} \mathrm{d}p \texttt{)}~ \mathrm{d}q  & + &  \mathrm{d}p ~\mathrm{d}q  \end{matrix}

The differential proposition \texttt{((} \mathrm{d}p \texttt{)(} \mathrm{d}q \texttt{))} may be read as saying “change p or change q or both”.  And this can be recognized as just what you need to do if you happen to find yourself in the center cell and require a complete and detailed description of ways to escape it.

Resources

cc: Academia.eduCyberneticsLaws of Form • Mathstodon (1) (2)
cc: Research GateStructural ModelingSystems ScienceSyscoi

Posted in Amphecks, Animata, Boolean Algebra, Boolean Functions, C.S. Peirce, Cactus Graphs, Change, Cybernetics, Differential Calculus, Differential Logic, Discrete Dynamics, Equational Inference, Functional Logic, Gradient Descent, Graph Theory, Inquiry Driven Systems, Logic, Logical Graphs, Mathematics, Minimal Negation Operators, Propositional Calculus, Time, Visualization | Tagged , , , , , , , , , , , , , , , , , , , , , , | 3 Comments