
冥王星の内部の温度と圧力により氷の状態が変化すると地殻が動く?地下海洋も生き残っている。以下、機械翻訳。
冥王星の上の最近の地質構造の活動が氷シェルの相の変化によって促進させられます
(2016年6月15日に提出しました)
探査機ニューホライズンズは、その氷基礎の 伸長 の地質構造の変形を含めて、表面上冥王星の地質学の活動の証拠を発見しました(ムーアおよびその他、2016参照)。 伸長 の地質構造の活動を促進させることができた1つのメカニズムが大洋の部分的な氷結のために全球的な表面拡大です。 我々は冥王星のために更新された物性を使って、そして可能な表面下の大洋の生き残りを理解するためにその熱の進展を装います。 岩の熱の 伝導率 のために3W m^-1 K^-1 よりさらに少なく、大洋ができて、そして少なくとも部分的に、氷シェルを着て最近の 伸長 ストレスに導いて、凍ります。 海が凍る、そして氷シェルが260km より厚いシナリオで、氷 II はグローバルなボリューム収縮を構成して、そして起こします。 最近の 圧縮 の地質構造の特徴の証拠がありませんから、我々は氷 II ができなかった、そして冥王星の海が多分現在の日に生き残ったと論じます。 ?1つのK - 1 - が、大洋が、氷シェルを着て最近の 伸長ストレスに導いてなって、そして少なくとも部分的に凍らせます。 海が凍る、そして氷シェルが260キロより厚いシナリオで、氷 II はグローバルなボリューム収縮を構成して、そして起こします。 最近の 圧縮 の地質構造の特徴の証拠がありませんから、我々は氷 II ができなかった、そして冥王星の海が多分現在の日に生き残ったと論じます。
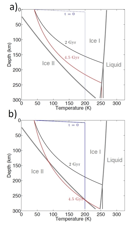
図1.冥王星の氷シェルを着ている温度プロフィール. 青いラインが最初の温度状態を示します。 黒い回線と赤い回線が CAI 編成の後に20億年に温度にと 45億年を示します。 厚いグレーのラインが氷 Ih と氷 II の間に、そして氷 Ih と液体の間に相の境界を見せます。 示されたシミュレーションは氷シェルを着て5%のアンモニアの質量の割合を持っています。 (a)がコア密度でシミュレーションを示すパネルは = 3です:05gセンチメートル ?? 3、氷シェルの厚さD = 285キロ、かそして ケイ酸塩 熱伝導率 kr = 2:5 Wm^‐1つのK^-1. この場合、と海洋ものが氷 II 形式ではなく、現在の日に主張し続けます。 パネル (b) がρr = 3でシミュレーションを示します:05gセンチメートル^3、D = 285キロかそして kr = 3.5 Wm^-1K^-1. このシミュレーションで、海は凍ります、そして、氷 II の100キロができるように、氷殻のベースは冷えます。

図2.対応する応力とひずみで表面において、図1に示された2つのケース(左のパネルが図 1a に対応します、正しいパネルが図 1b に対応します)の時間までの氷殻の進展. トップのパネルはy軸の上に時間まで、深さを持っている氷シェルのクロスセクションを、そしてx軸で CAI 編成の後の時間を示します。 カラーが、緑の、そして青い白がそれぞれ氷 Ih 、氷 II と液体、を表すという状態で、H2O段階に対応します。 トップからの2番目のパネルは核心(赤いライン)と表面熱流速(黒いライン)から熱の流れを見せます。 最低のセンターパネルは氷シェルの段階の変化と熱の拡大の結果として表面において重圧を見せます。 最低のパネルは表面においてストレスを見せます。 圧縮のストレスは否定的であって、そして 伸長が確かです。