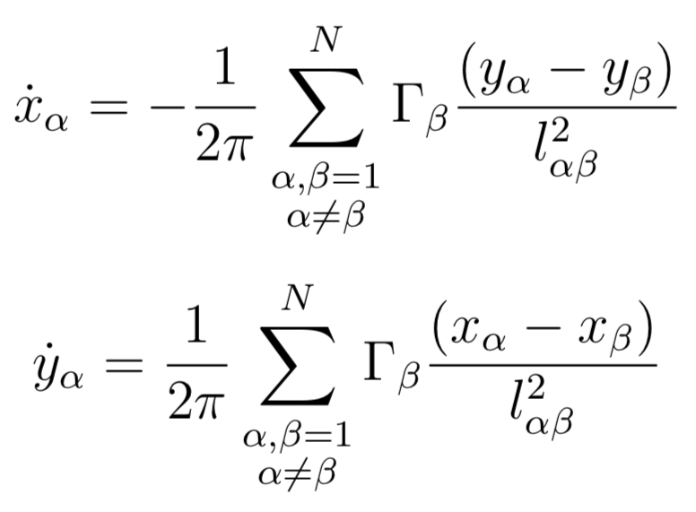
Integrate a system of N point vortices.
- pdoc3 documentation: zmoon.github.io/vorts
- GitHub: zmoon/vorts
- Examples:
Releasing tracers into the rotating N-vortex system:
Poincaré plots. Given a sufficiently long run with a large number (e.g. 100) of tracers, you can make pretty pictures like this:
Originally created for the PSU class METEO 523 – Modeling the climate system.



