Nishikawa Rp limiters (AIAA 2022-1473)#2006
Conversation
Nishikwa Rp Limiter implementation
|
Rp_limiter_ramp.pdf |
|
The results look very convincing, also nice to see such an improvement in convergence. Could you add the ramp case as a regression test to this PR (you could add them to parallel_regression.py) |
|
And can you also update the section on slope limiters in the documentation: |
|
Sure @bigfooted , This is a recent work by Dr. Nishikawa. Actually there are very few unstructured grid limiters in practice, Barth-Jespersen, Venkatakrishnan and its modifications, Michalek-Gooch (most of them are already implemented in SU2). I just saw the details and thought of implementing it. Also to note, it is tailored for vertex centered schemes not cell centered scheme, hence is apt for SU2. In original paper he showed tests with few inviscid cases. Recently He has revealed that it has been implemented in NASA CFD codes. |
|
Hi, I was about to open a pull request with the same exact implementation. I can help with the review and validation cases. |
tbellosta
left a comment
There was a problem hiding this comment.
Implementation LGTM.
Personally I would make const all that can be made const in the LimiterHelpers inlines, but I see you kept the style of the functions that were already there, so good for me.
|
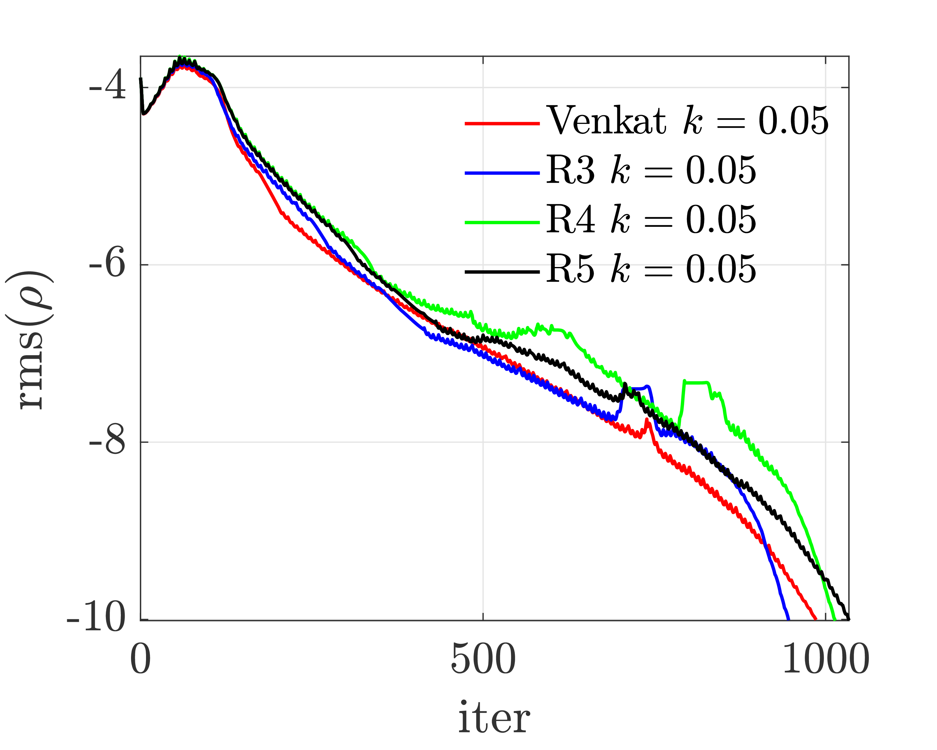
The first case I was running with the new limiters (Mach 2 invisccid flow around symmetrc diamond), showed similar convergence properties as the Venkatakrishnan limiter and slightly less dissipation as @aeroamit mentioned. The mesh I run was already quite fine, so no huge differences can be noticed but they are there. These are the convergence history and a slice of the solution (at k=0.05): |
|
Hi @tbellosta, Nice to see you. I have run many cases including ONEAR M6 RANS on a fine solve to wall mesh. Here are results - |
Space instead of Tab
|
Hi @pcarruscag , I have done the changes you suggested, please have a look. |
|
In that case maybe add the ramp case as a regression test, or maybe @tbellosta can contribute the diamond test as a regression. As a separate effort, it would still be very nice to write up the M6 results for the V&V page, we can host large files in the SU2 foundations google drive. Having some reference results and settings known to work in that case would be very helpful for new folks. |
pcarruscag
left a comment
There was a problem hiding this comment.
Implementation-wise all LGTM, thanks. Please add the regression test and then we can merge.
Also please don't forget the user guide page https://su2code.github.io/docs_v7/Slope-Limiters-and-Shock-Resolution/
|
Sure, I will add the ramp case and update the documentation... |
|
I have added pull requests for ramp Test Case and documentation update (limiter portion) at respective places for review. When I should update the parallel_regression.py? Probably after addition of ramp case into develop? I have added one case few years back but not not able to recall the procedure... |
|
The PR branch for the testcase is from your personal repo, so indeed we need to merge that first. For branches in our repo you can change line 131 in the file .github/workflows/regression.yml to point to a different branch then develop |
Added euler/ramp case details
Removed space (CodeFactor pointed issue)
Updated values after restart
|
@pcarruscag , kindly change the name of restart_flow.dat to solution_flow.dat for Inviscid supersonic flow past a ramp in a channel #122 pull request (merged) case. That's why regression failed this time (could not find restart file solution_flow.dat). |
Or perhaps I can change the restart file name to restart_flow.dat itself for passing the regression test (may not be a good practice)? |
|
Its fine to change the name in the config file |
Changed SOLUTION_FILENAME= restart_flow.dat







Proposed Changes
Implementation of NISHIKAWA Rp Limiters (R3, R4, R5)
Reference - "New Unstructured-Grid Limiter Functions", Hiroaki Nishikawa, AIAA 2022-1473
Related Work
1- Less dissipative in comparison to Venkatakrishnan limiter
2- Can preserve higher order accuracy (3rd, 4th and 5th with R3, R4 and R5 limiters, probably future proof)
3- May help in better convergence for certain cases with different K.
PR Checklist
Put an X by all that apply. You can fill this out after submitting the PR. If you have any questions, don't hesitate to ask! We want to help. These are a guide for you to know what the reviewers will be looking for in your contribution.