[WIP] Develop for Langtry and Menter transition model.#1592
[WIP] Develop for Langtry and Menter transition model.#1592sun5k merged 0 commit intosu2code:developfrom sun5k:develop
Conversation
|
Hi @sun5k the SST version implemented in fluent is not the same as we have, maybe that's where the difference comes from. |
|
Hi @sun5k, that looks promising 👍 |
|
Now that you have running examples it would be extremely important to add them as regressions tests, so that you can ensure that changes coming from develop do not break the code. |
|
Hi @pcarruscag Thank you for the invitation to the meeting. Unfortunately, this week I have a domestic conference. I think I'll have to promise next(not a next week). |
|
Hi @sun5k , I am also working on the implementation of this transition model within SU2. In order to verify the code, I am running simulations on the E387 profile (taken from DOI:10.1177/0954406217743537) and on the Flat Plate test cases (taken from DOI: 10.2514/1.42362). While for the E387 profile the results are similar (although not really convincing yet), for the flat plate (NASA 2DZP) the transition occurs right at the leading edge. Could you please share the config files that you have used? I also noted a couple of inaccuracies within your implementation (by inspection of the "Files changed" section), maybe we can have a talk to discuss about it. Thank you in advance. |
| @@ -0,0 +1,90 @@ | |||
| /*! | |||
| * \file turb_convection.hpp | |||
There was a problem hiding this comment.
These headers can be updated.
|
|
||
| if(TURB_TRANS_MODEL::LM == config->GetKind_Trans_Model()) { | ||
| auto* transNodes = su2staticcast_p<CFlowVariable*>(solver_container[TRANS_SOL]->GetNodes()); | ||
| numerics-> SetIntermittencyEff(transNodes->GetIntermittencyEff(iPoint), 0.0); |
There was a problem hiding this comment.
I got an mallo'c error here. Fixed by directly using "solver_container[TRANS_SOL]->GetNodes->GetIntermittencyEff(iPoint)". This also happens in trans_sources.hpp. Is this a helpful comment or probably a problem on my end?
There was a problem hiding this comment.
Hi, @RichRoos
Thank you for your careful code review. 👍
"numerics-> SetIntermittencyEff(transNodes->GetIntermittencyEff(iPoint), 0.0)" and trans_sources.hpp don't make a any problem in my code debugging environment. So, I can't guess what happened with your code reviewing.
I try to change the code which you recommended, like "numerics-> SetIntermittencyEff(solver_container[TRANS_SOL]->GetNodes->GetIntermittencyEff(Point), 0.0);"
| ReThetaT_Inf = (1173.51-589.428*Intensity+0.2196/(Intensity*Intensity)) * f_lambda; | ||
| } | ||
| else { | ||
| ReThetaT_Inf = (1173.51-589.428*Intensity+0.2196/(0.27*0.27))*f_lambda; |
There was a problem hiding this comment.
For consistency: does this have to be 0.027*0.027 as this forces the minimum value of the Intensity of 0.027?
There was a problem hiding this comment.
Also, there shouldn't be any f_lambda multiplication for the freestream conditions.
There was a problem hiding this comment.
It is indeed not necessary, but the lambda is set to zero, which makes the f_lambda zero. So the result is the same.
There was a problem hiding this comment.
The answer for the first comment @RichRoos
Yes, you are right. The LM model must retain local turbulence intensity over 0.027% for numerical robustness.
See the below figure (https://turbmodels.larc.nasa.gov/langtrymenter_4eqn.html)

The answer to the second and third comments @RichRoos and @rois1995
Thank you for the good point out. The variable lambda and f_lambda don't have any role in that part. So, I eliminate the unused variables.
|
|
||
| break; | ||
| case MAIN_SOLVER::INC_RANS: | ||
| solver[FLOW_SOL] = CreateSubSolver(SUB_SOLVER_TYPE::INC_NAVIER_STOKES, solver, geometry, config, iMGLevel); |
There was a problem hiding this comment.
Adding "solver[TRANS_SOL] = CreateSubSolver(SUB_SOLVER_TYPE::TRANSITION, solver, geometry, config, iMGLevel);" here for incompressible simulations.
There was a problem hiding this comment.
I know this but have not applicated the LM yet for an incompressible solver. I want to finish the LM model for the compressible solver first and start later for the incompressible solver.
There was a problem hiding this comment.
Check, sounds like a good plan. I am running incompressible cases and I think you only need to add this line here to make them work, as the output etc already works (CIncomOutput is a child of CCompOutput to put it bluntly), so you could already fix it. But your method is of course completely fine, so I will leave it up to you :).
|
Hi @sun5k, I think that the restart of the solution is missing. Since for CTransLMSolver you have inherited the functions from CTurbSolver class, the restart is only applied to the turbulent solver. I solved this problem by creating another class called CTransSolver which is a copy of the CTurbSolver class but with a modified LoadRestart function. I guess that the function in the CTurbSolver class can be modified to take into account the transition solver. It depends if we want to divide the transition from the turbulence solver or not. |
|
Hi @rois1995. The LM model code under the development clearly has some problems. I've not finished yet all validation cases for commonly used. So, I can't help with the E387 profile problem. but, I think I can give some helpful comments. Check the numerical scheme which you used. like Roe and L2Roe, AUSM and SLAU. In my case, I didn't think to use the low dissipation scheme because I thought the code was wrong. I upload the configure file for the T3A flat plate case, which I used. |
SU2_CFD/include/numerics/turbulent/transition/trans_diffusion.hpp
Outdated
Show resolved
Hide resolved
SU2_CFD/include/numerics/turbulent/transition/trans_sources.hpp
Outdated
Show resolved
Hide resolved
|
Hi guys~ Here is sharing the status of the LM model. V&V cases: T3A, T3A-, NLF Flow conditions are the reference from: https://doi.org/10.2514/6.2022-3679. The grids of T3A and NLF cases are provided by TMW(Transition Model Workshop). And I made the grid of T3A- myself. To validate the LM model, the simulation results of SU2 are compared with the results of Fluent19.0 with a similar numerical setting. Here is the numerical scheme :
Some high-resolution grid-level results are missed because I don't have enough computational resources. T3A : T3A-: NLF : Now I'm testing on effect of the numerical schemes and other options like CONV_NUM_METHOD_FLOW, MUSCL_TURB, CFL, and CFL_ADAPT. |
|
Results look good 👍 |
|
Hi @sun5k, could you please add also the configuration files to reproduce these results? I would try to run these simulations too with my implementation of the transition model. Thank you in advance! |
|
Hi @rois1995 Of course! By any chance, are you implementing or developing a transition model? |
If you could send me the config files for the T3A, T3A- and NLF test cases it would be awesome! I have implemented the same model as yours, the LM model, in parallel to you 'cause I needed it for some simulations. I also tried implementing the same version but related to the SA turbulence model, however it still is bothering me that I cannot seem to get good results on it. If you want, I also tried the prolate spheroid test-case with good results. If you need I can give the configs and the meshes. The only thing about this test-case is that it is more related to the cross-flow transition, thus it needs to be implemented, which I think I'll do in these days. I think that the k-w-gamma model is the way to go right after the implementation of the LM model since it has lots of equations in common. Do you think that you need another class for it or you will write on the same classes that you have already built (like the CTransLMSolver)? |
The test case(T3A, T3A-, and NLF-0416) configuration files were uploaded to my git repository. Here is the link. Suggestions for the prolate spheroid test-case is appreciated. However, my transition model is the LM-2009, and I have no plans for the 2015-LM model. Therefore, the cross-flow transition is left for future developers. I think the CTransGammaSolver, CTransGSolver, or the other name of classes will be added for the k-w-gamma transition model. It's a vague idea, I haven't really thought about detail yet. |
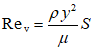
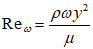
| su2double F_onset1, F_onset2, F_onset3, F_onset; | ||
| su2double f_turb, Re_v, f_sub, r_omega; | ||
| su2double Pg, Dg, Pthetat; | ||
| su2double diverg; |
There was a problem hiding this comment.
Introduce these where they are used please.
There was a problem hiding this comment.
This is NASA turbulence modeling resources of LM model (TMR) SST-2003-LM2009
All variables are almost the same in Langtry's paper and dissertation.
F_onset1, F_onset2, Fonset3, and F_onset of line 105 is the transition onset function that triggers the transition.
f_turb is used to disable the destruction/relaminarization source outside of a laminar boundary layer or in the viscous sublayer and is defined as follows :

Re_v is vorticity Reynolds number :

f_sub is forcing F_length to always be equal to its maximum value (in this case 40.0) in the viscous sublayer :

r_omega is Reynolds number base on omega :

Pg, Dg, and Pthetat are production and destruction terms of each transport equation.
diverg is divergence of velocity.
There was a problem hiding this comment.
Sorry, I mean instead of mass declaring the variables at the top of a function, declare the variables when they are used ->
i.e. "su2double F_onset = ......"
| Laminar_Viscosity_i = V_i[idx.LaminarViscosity()]; | ||
| Eddy_Viscosity_i = V_i[idx.EddyViscosity()]; | ||
|
|
||
| Tu = 100.0*sqrt( 2.0 * ScalarVar_i[0] / 3.0 ) / Velocity_Mag; |
There was a problem hiding this comment.
For example
| Tu = 100.0*sqrt( 2.0 * ScalarVar_i[0] / 3.0 ) / Velocity_Mag; | |
| su2double Tu = 100.0*sqrt( 2.0 * ScalarVar_i[0] / 3.0 ) / Velocity_Mag; |
There was a problem hiding this comment.
Ok, now I understand what you mean. There is nothing special reason. It just habitually declared all the variables above. So I'll fix all the variables declared that same way.
|
"[WIP] Develop for Langtry and Menter transition model. #1592" was merged while trying to update my remote repository to v7.40. I'm not good at using GitHub, so I'm sorry for this situation. My remote repository(forked) is not synchronized with v7.40, and I don't know what the problem is. So, I will delete the forked repository and fork it again to PR with the same name and content. Fortunately, the LM model updated to v7.40 obtained the same residuals and results as the previous v7.3.1. |













Proposed Changes
Give a brief overview of your contribution here in a few sentences.
Hi, all.
This PR is resuming the #1496. I'm not familiar with the git, so the branch is unfortunately disconnected.
Now working on
Langtry and Menter model
Current State
Code is well running. But, the result is not satisfactory. 😂
The LM(Langtry and Menter) model implemented to Su2 is under debugging compared to the results of Fluent's LM model.
Transition onset is located upward then Fluent result. But, the good news is that when the correlations are set fixed value, the transition onset location is similar to the Fluent result.
PR Checklist
Put an X by all that apply. You can fill this out after submitting the PR. If you have any questions, don't hesitate to ask! We want to help. These are a guide for you to know what the reviewers will be looking for in your contribution.