[WIP] Piperno slope limiter and more flexible MUSCL scheme#1050
[WIP] Piperno slope limiter and more flexible MUSCL scheme#1050
Conversation
economon
left a comment
There was a problem hiding this comment.
👍 Good idea, been meaning to add this type of reconstruction for a while (as you note, this is standard in FUN3D and others).
pcarruscag
left a comment
There was a problem hiding this comment.
Looks nice, sounds promising, but I must insist we avoid duplicating code (without good reason).
Folks were talking about limiter issues on #917, maybe you have something to add to the discussion?
SU2_CFD/src/solvers/CEulerSolver.cpp
Outdated
|
|
||
| su2double Project_Grad_i = 0.0; | ||
| su2double Project_Grad_j = 0.0; | ||
| const su2double V_ij = V_j[iVar] - V_i[iVar]; |
There was a problem hiding this comment.
V_ij is not used by the point limiters, it should not be computed by default.
There was a problem hiding this comment.
It might not used by the limiters, but it's used by the generalized MUSCL scheme whenever Kappa != 0
There was a problem hiding this comment.
Doh, missed that sorry, will that require some central blending of the flux Jacobians?
There was a problem hiding this comment.
I guess so, because now we're feeding V_i + 0.5*k*Lim_i*(V_j - V_i) (and similarly for the right state) into CNumerics.
Should I just pass (k*Lim_i, k*Lim_j) into CNumerics and manipulate the Jacobian there?
There was a problem hiding this comment.
It would be better to pass Lim_i/j and let the numerics read k from the config.
But we should test if the central blending is beneficial, as it will make the system matrix less diagonally dominant.
Perhaps for testing only k needs to be considered (lim_i/j assumed 1), I can help testing if you hack this into Roe (I have a score to settle with some cases that did not work very well with upwind schemes)
There was a problem hiding this comment.
I added a function CUpwRoeBase_Flow::GetMUSCLJac() that multiplies the Jacobians (dF/dU) by (dU/dV)*(dV_f/dV_i)* (dV/dU) where dV_f/dV_i is diag(1+0.5*k*(Lim_j-Lim_i)), and dU/dV and dV/dU are taken from Hirsch


I feel like the implementation isn't technically correct because the dV/dU should be evaluated at the nodal values, but from my very limited testing it doesn't seem to break anything (other than like half the regressions)
There was a problem hiding this comment.
Cool, I will try it, I'm curious about the impact of the more accurate Jacobian vs a possibly simpler approximation that neglects the limiters or uses an average over all variables (which would then boil down to just scaling dF/dU and adding part of the "other" dF/dU and v.v.).
dV/dU are available in CUpwAUSMPLUS_SLAU_Base_Flow::AccurateJacobian so if this ends up being the way forward we could factor them out (btw for those schemes the accurate Jacobian sometimes is worse, hence my curiosity).
I've also wondered about whether the Jacobians (even dF/dU) should be evaluate at the reconstructed state (as currently done) or at the un-reconstructed... This can be easily tested in #1022 (the reconstruction is inside the numerics).
There was a problem hiding this comment.
other than like half the regressions
I have a script for that 😈
jayantmukho
left a comment
There was a problem hiding this comment.
Thanks for adding this functionality to the solver!
SU2_CFD/src/solvers/CEulerSolver.cpp
Outdated
|
|
||
| su2double Project_Grad_i = 0.0; | ||
| su2double Project_Grad_j = 0.0; | ||
| const su2double V_ij = V_j[iVar] - V_i[iVar]; |
There was a problem hiding this comment.
Doh, missed that sorry, will that require some central blending of the flux Jacobians?
|
This issue has been automatically marked as stale because it has not had recent activity. It will be closed if no further activity occurs. If this is still a relevant issue please comment on it to restart the discussion. Thank you for your contributions. |
@pcarruscag coming back to this, is the plan with #1022 to exclusively use CNumericsSIMD, or keep the USE_VECTORIZATION option and have both Roe implementations available? I was thinking of merging feature_simd_numerics into this branch, and was wondering if I'd need to implement the reconstruction Jacobian for both Roe implementations or if I should just stick to CNumericsSIMD. |
|
I think ideally we would have only the speedy stuff, but that is a very
long term goal (and ideally a community decision).
Medium term they will have to coexist due to:
1) Features I have not re-implemented like, reconstruction checks,
uncertainty stuff.
2) "Boundary numerics", I need to think of a clever way to use
CNumericsSIMD on boundaries (this should not matter for what you are
working on).
With that said, I implemented JST with matrix dissipation and did not
bother making 2 versions of it...
So, you choose, nothing would make me happier than seeing people starting
to use that framework.
…On Fri, 25 Sep 2020, 19:19 Brian Munguía, ***@***.***> wrote:
I've also wondered about whether the Jacobians (even dF/dU) should be
evaluate at the reconstructed state (as currently done) or at the
un-reconstructed... This can be easily tested in #1022
<#1022> (the reconstruction is inside
the numerics).
@pcarruscag <https://github.com/pcarruscag> coming back to this, is the
plan with #1022 <#1022> to exclusively
use CNumericsSIMD, or keep the USE_VECTORIZATION option and have both Roe
implementations available? I was thinking of merging feature_simd_numerics
into this branch, and was wondering if I'd need to implement the
reconstruction Jacobian for both Roe implementations or if I should just
stick to CNumericsSIMD.
—
You are receiving this because you were mentioned.
Reply to this email directly, view it on GitHub
<#1050 (comment)>, or
unsubscribe
<https://github.com/notifications/unsubscribe-auth/AJCOXN2UIR3VMHBZO2D5X33SHTNMNANCNFSM4O6XOQQQ>
.
|
| /* A grid is defined as dynamic if there's rigid grid movement or grid deformation AND the problem is time domain */ | ||
| dynamic_grid = config->GetDynamic_Grid(); | ||
| kappa = config->GetRoe_Kappa(); // 1 is unstable | ||
| muscl_kappa = 0.5*config->GetMUSCL_Kappa(); |
There was a problem hiding this comment.
Is there a reason for multiplying the config value by 0.5?
|
This issue has been automatically marked as stale because it has not had recent activity. It will be closed if no further activity occurs. If this is still a relevant issue please comment on it to restart the discussion. Thank you for your contributions. |
| /*--- Roe Turkel preconditioning ---*/ | ||
|
|
There was a problem hiding this comment.
| /*--- Roe Turkel preconditioning ---*/ | |
| su2double limiter_i[MAXNVAR] = {0.0}, limiter_j[MAXNVAR] = {0.0}, ZeroVec[MAXNVAR] = {0.0}; | |
| /*--- Roe Turkel preconditioning ---*/ | |
There was a problem hiding this comment.
github does not let me get this change in but it should fix the dangling pointer issues.
Anyway... I'll leave this PR for the stale bot now
| numerics[iMGlevel][FLOW_SOL][conv_bound_term] = new CUpwRoe_Flow(nDim, nVar_Flow, config, false); | ||
| numerics[iMGlevel][FLOW_SOL][conv_term] = new CUpwRoe_Flow(nDim, nVar_Flow, config, roe_low_dissipation, muscl_flow_jac); | ||
| numerics[iMGlevel][FLOW_SOL][conv_bound_term] = new CUpwRoe_Flow(nDim, nVar_Flow, config, false, false); |
There was a problem hiding this comment.
Coarse grids never use MUSCL
|
|
||
| if (muscl) { | ||
| GetMUSCLJac(muscl_kappa, Jacobian_i, Limiter_i, Limiter_j, Velocity_i, &Density_i); |
There was a problem hiding this comment.
In defining this boolean in the constructor it would make sense to check the value of MUSCL kappa to check if any work needs to be done.
And possible to include USE_ACCURATE_FLUX_JACOBIANS also in that boolean.
|
This issue has been automatically marked as stale because it has not had recent activity. It will be closed if no further activity occurs. If this is still a relevant issue please comment on it to restart the discussion. Thank you for your contributions. |
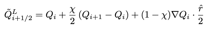
Proposed Changes
This PR adds the Piperno slope limiter and introduces a parameter to control the relative upwind vs central differencing in the MUSCL scheme:

where
The reasons for these additions are
Further testing still needs to be done on the effect of the MUSCL parameter with other limiters, but leaving the value as default won't affect any of the test cases.
Relevant config parameters
Piperno limiter:
MUSCL parameter:
PR Checklist
Put an X by all that apply. You can fill this out after submitting the PR. If you have any questions, don't hesitate to ask! We want to help. These are a guide for you to know what the reviewers will be looking for in your contribution.