-
Notifications
You must be signed in to change notification settings - Fork 976
SST(m) implementation is inconsistent with literature #1551
Description
TLDR:
There is SST and SSTm, the latter drops the tke term from the viscous stress tensor AND from the production term. Currently we do the former (because it was found beneficial here #797) but not the latter, which leaves the implementation in some kind of limbo state.
Discussed in #1483
Originally posted by sun5k January 10, 2022
Question about Menter's SST model on SU2
Hello! This post is my first Q&A for SU2; happy new Year everyone.
I have two questions about the SST model for the SU2.
The abbreviation is referred from the SST Turbulence model of NASA TMR, Compressible RANS of NASA TMR , and Running cases with CFD of NASA TMR.
Briefly
-
In SU2, The production term of the SST model uses incompressible assumptions. Is there some special reason?
-
Always ignore the turbulence kinetic energy to compute the stress tensor for the momentum and energy equation, is it a bug?
Here is the detail!
The Boussinesq relation of RANS is
Form Running cases with CFD of NASA TMR: "In the equation above, the
term is sometimes ignored for non-supersonic speed flows, and the second term in parentheses is identically zero for incompressible flows."
The production term of SST model is :
Rewrite the first term of the above equation :
Finally, the production term becomes :
This term(
) becomes zero in incompressible flow(from continuity equation
), but the compressible flow is not zero.
In the SU2 source code( line 849 in SU2_CFD/src/numerics/turbulent/turb_sources.cpp), the production term of SU2's SST model is
"pk = Eddy_Viscosity_iStrainMag_iStrainMag_i - 2.0/3.0Density_iScalarVar_i[0]*diverg;"
Rewrite above code to equation :

The omit of
term is a bug, or has some special reason?
term is not an issue in incompressible flow like low Mach number simulation. But, in a high Mach number simulation, it may make a noticeable difference.
Q.2)
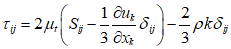
The stress tensor in RANS simulation is following :
From Running cases with CFD of NASA TMR : "In the equation above, the
term is sometimes ignored for non-supersonic speed flows, and the second term in parentheses is identically zero for incompressible flows." And, from SST Turbulence model of NASA TMR : "When the
term is ignored in
in the momentum and energy equations and the production term is approximated by
, a modified naming convention should be employed : SSTm"
In the SU2 source code( line 142 in SU2_CFD/src/numerics/flow/flow_diffusion.cpp), The turbulence kinetic energy of the stress tensor is always calculated as 0. I don't know who, someone comments as
"// TODO why ignore turb_ke?"
This comment existed until SU2 v.7.1.0 to SU2 v.7.2.1(I'm not sure the same about the bellow SU2 v710).
I guess the SST model of SU2 is 'SST' not 'SSTm'. Then, it should be used
in the stress tensor of the momentum and energy equations.
The code always ignores the turbulence kinetic energy to compute the stress tensor for the momentum and energy equation.
Is it under maintenance?
Extra question) Someone working to implement for other kinds of SST(like SST-V, SST-Vm, SST-2003, SST-2003m, ... )?
Thank you for reading.





