Replies: 4 comments 16 replies
-
|
The flow solver does not solve for Div(V) = 0, it solves for Div(F) = 0, where F is the mass flux across an edge. |
Beta Was this translation helpful? Give feedback.
-
Beta Was this translation helpful? Give feedback.
-
Beta Was this translation helpful? Give feedback.
-
|
I wanted to check whether actually the effects of flow divergence would be negated with the current changes. For this, I set up a 1D, incompressible test case with a constant velocity distribution of 1.0m/s. The initial passive scalar solution was set to 0.5. At the inlet, I set a velocity of 1.1m/s, resulting in a front of nonzero flow divergence to traverse the domain. If the effects of flow divergence would have been negated, the scalar solution would remain constant. In the figure, you can see the solution after 500 iterations at a CFL of 1.0 (top left). As you can see, the scalar solution shows a bump in the wake of the velocity gradient (right line plot, green curve). I added a set of correction terms according to the scalar advection equation. With these terms enabled, the scalar solution remains constant (bottom left, blue curve), even in the region of nonzero velocity divergence. |
Beta Was this translation helpful? Give feedback.











Uh oh!
There was an error while loading. Please reload this page.
Uh oh!
There was an error while loading. Please reload this page.
-
The problem:

As discussed in the online SU2 developer meetings, here is the problem:
In the tutorial for incompressible flow with species transport here (which can be converged up to machine precision):
https://su2code.github.io/tutorials/Inc_Species_Transport/
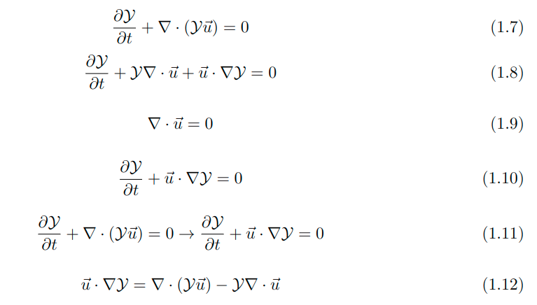
It was noticed that when the flow goes around the corner, the value of the species coming from the top was not conserved. This is due to a nonzero velocity divergence term Div(V). One solution would be to solve the species transport equations and explicitly put Y*Div(V) to zero in the species equations.
However, the root cause is the nonzero Div(V) term coming from the Navier Stokes equations. This term does not seem to be physical. Actually, switching on the MUSCL scheme for the flow equations reduces the maximum divergence by a factor of 2.
My question is what the best way forward would be to reduce Div(V) or its impact on species/turbulence transport without resorting to implementing a pressure based (PISO, SIMPLE) solver (or possibly using much finer meshes around corners).
[EDIT: it is clear now that Div(V) does not have to be, and in fact is not, zero in the incompressible flow cases we are considering]
Any thoughts?
Beta Was this translation helpful? Give feedback.
All reactions