This simple OFDM demo is based on IEEE 802.11n OFDM format for testing SDR hardware.
Using Software Designed Radio (SDR) to transmit OFDM signals at 5 GHz.
Transmitter and Receiver hardware : Zedboard (Xilinx Zynq®-7000) + AD9361 (Analog Device-FMCOMMS3)
- Matlab R2016a
- support package for Xilinx Zynq-Based Radio (R2016a version)
Before executing this code, please follow this tutorial to install support package for Xilinx Zynq-Based Radio in Matlab.
Please open multiple Matlab windows to run Hardware_TX.m and Hardware_RX.m respectively.
TX_signal.mat
OFDM_TX.m
- data_Payload_1.mat
- data_Payload_2.mat
- oversamp.m
- setstate0_TX.m
OFDM_RX.m
- Long_preamble_slot_Frequency.mat
- HTL_k_slot_Frequency.mat
- setstate0_RX.m
- RX.mat
- RX2.mat
- GUI_TX
- GUI_RX
Video Demo : https://www.youtube.com/watch?v=CiHpd1Z8qK8

- Data Signal Mapping
- Packet Detection
- Coarse/Fine Frequency Offset Estimation & Compensation
- Channel Estimation & One-Tap Equalizer
- Data De-Mapping
- AGC (Auto Gain Control)
- Fine Symbol Timing Estimation
- Convolutional Decoding
- De-Interleaving
- Frame check calculation (It assumes every packet is the same length)
- Short Preamble
![]()
- Long Preamble
![]()
- HT-Long Preamble (Tone Interleaving)
![]()
- Payload
![]()
- TX signal
![]()
| Center Frequency | 5 GHz |
|---|---|
| Baseband Sample Rate (Bandwidth) | 20 MHz |
| Ts (Sampling time) | 50 ns |
| Samples Per Frame | 3500 |
| PC Host IP address | 192.168.3.1 |
| TX IP address | 192.168.3.2 |
| RX IP address | 192.168.3.3 |
Edit newip.sh file in SD card
# Flush existing config
ip addr flush dev eth0
ip link set dev eth0 down
# Set up new config
ip addr add 192.168.3.3/24 dev eth0
ip link set eth0 address 00:0A:35:00:01:23
ip route add default via 192.168.3.1
ip link set dev eth0 up
Then, use router DHCP hand setting mode to distribute network configuration parameters :
- "Delay and Correlate" algorithm for Packet Detection
![]()
- Packet Detection (normal case) , Threshold=0.75
![]()
- Coarse CFO Estimation & Compensation
![]()
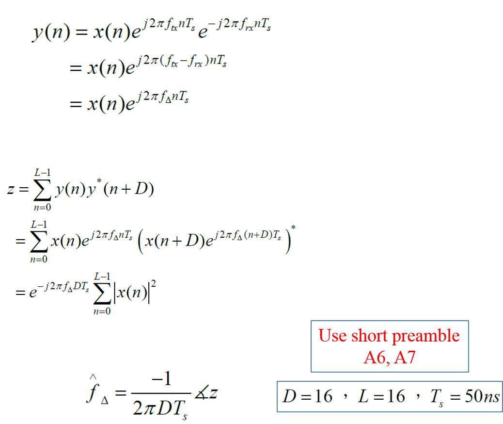
- Fine CFO Estimation & Compensation
![]()
- MIMO Channel Estimation Diagram (Tone Interleaving)
![]()
- Channel Estimation & Equalizer
![]()
















