项目进度管理是为了确保能够在规定的时间内实现项目目标,对项目活动进度进行管理的过程。通常项目进度管理的过程包括规划、定义活动、排列活动顺序、估算活动资源、估算活动时间、制定进度计划、监控计划七个步骤。下面我将结合着7大步骤来分享:如何更好的对项目进度进行管理。
一、项目进度管理-规划进度管理
制定项目进度计划是一个复杂的过程,项目进度计划是否可行,对项目成败具有很大的影响,所以需要对这个过程进行合理的规划,以期编制出切实可用的项目进度计划。
规划进度管理是为实施项目进度管理制定政策、程序,并形成文档化的项目进度管理计划的过程。其作用是:如何在整个项目过程中管理、执行和控制项目进度提供指南和方向。
制定项目计划遵循以下原则:
- 合理的项目计划明确交付物的完成验收标准
- 有清晰的工作流程规范、分工明确
- 团队共同制定、计划可执行
- 项目目标清晰、团队目标一致
规划进度管理的ITO详解:

① 项目进度管理计划:是项目管理计划的组成部分,为编制、监督和控制项目进度建立的准则和明确活动。可以是正式或非正式的,非常详细或高度概括的。其中应包括合适的控制临界值。
进度管理计划实质上是“编制进度计划的计划”,在实际项目上,一般是概括性的、提纲性的,作为编制进度计划的指导,为其提供方向即可。
二、项目进度管理-定义活动
无论项目规模大小如何,项目都是由多个“活动”组成的,只有准确识别和定义各个活动,才能为估算活动资源和制定进度计划提供依据。
定义活动过程就是识别和记录为完成项目可交付成果而需采取的所有活动。将工作包分解为活动,作为对项目工作进行估算、进度规划、执行、监督和控制的基础。
活动:就是为了完成工作包所需进行的工作(对WBS中工作包的进一步细分),是实施项目时安排工作的最基本的工作单元。活动和工作包是1对1或多对1的关系。
1、定义活动的ITO详解:

① 滚动式规划:滚动式规划是一种迭代式的规划技术,即详细规划近期要完成的工作,同时在较高层级上粗略规划远期工作。在项目生命周期的不同阶段,工作分解的详细程度是不同的。
② 活动清单:活动清单是一份包含项目所需的全部活动的综合清单。里程碑清单列出了项目所有里程碑。
③ 活动属性:包括活动编码、活动描述、紧前活动、紧后活动、逻辑关系、提前量、滞后量、资源需求、强制日期、制约因素、假设条件。
④ 里程碑清单:项目中的关键事件清单。里程碑是项目中的重要时点或事件,包含强制性的和选择性的,一个好的里程碑最突出的特征是:达到此进程碑的标准毫无歧义。确定里程碑时,常用头脑风暴法。
项目活动定义完成后,紧接着要对这些活动的顺序进行排列,确定先做什么再做什么。
三、项目进度管理-排列活动顺序
对项目活动的顺序描述,一般采用图形的方式,这样更加直观。而在实际使用时,通常采用项目管理软件,进行手动或自动化工具来完成。
排列活动顺序是识别和记录项目活动之间的关系的过程。定义工作之间的逻辑顺序,以便在既定的所有项目制约因素下获得较高的效率。
1、排列活动顺序的ITO详解:

① 紧前关系绘图法:也叫前导图法,用来编制项目进度网络图,详见后述。
② 确定依赖关系:由于活动之间的依赖关系可能是强制性的或是选择性的,所以需要确定活动之间的依赖关系,详见后述。
③ 提前量与滞后量:是指在活动之间加入时间提前量与滞后量,用来更准确地表达活动之间的逻辑关系,详见后述。
④ 项目进度网络图:将各活动按照排列顺序和依赖关系绘制成的图形,包括前导图法、箭线图法等,详见后述。
2、确定活动之间依赖关系的4种关系:
(1)强制性依赖关系:法律合同要求的;内在性质决定的;客观限制有关
(2)选择性依赖关系:首先逻辑关系,优先逻辑关系,大多时按照公认的优异实践的顺序
(3)外部依赖关系:项目活动与非项目活动之间的关系,外部依赖关系不在团队控制范围内
(4)内部依赖关系:项目活动与活动的关系,通常在项目团队控制范围内
3、前导图法(PDM)也称紧前关系绘图法,是用于编制项目进度网络图的一种方法。用方块代表活动,箭头代表逻辑关系,这种图也称为单代号网络图(只有节点需要编号)。前导图法,包括活动之间的4种依赖关系:
(1)结束-开始(F-S):前序活动结束后,后续活动才能开始
(2)结束-结束(F-F):前序活动结束后,后续活动才能结束
(3)开始-开始(S-S):前序活动开始后,后续活动才能开始
(4)开始-结束(S-F):前序活动开始后,后续活动才能结束
4、前导图法中,每个活动有以下几个时间:
(1)较早开始时间(ES)
(2)较早完成时间(EF):=ES+工期
(3)最迟完成时间(LF)
(4)最迟开始时间(LS):=LF-工期

5、箭线图法(ADM)是用箭线表示活动,节点表示事件的一种网络图绘制方法,这种图叫做双代号网络图(活动和事件都需要编号),活动的开始(箭尾)事件叫做该活动的紧前事件,活动的结束(箭头)事件叫做该活动的紧后事件。箭线图法中,有三个原则(常用于案例或判断):
(1)网络图中每一个活动和事件都必须有少数的代号
(2)任意两项活动的紧前事件和紧后事件代号至少有一个不同,节点代号沿箭头方向越来越大
(3)流入(流出)同一节点的活动,有共同的紧后活动(或紧前活动)
虚活动用虚箭头表示,不消耗时间也不消耗资源,只是为了表达活动依赖关系
6、在活动之间加入时间提前量和滞后量,可以更准确地表达活动之间的逻辑关系。
提前量:相对于紧前活动,紧后活动可以提前的时间量。用负数表示:例SS-10
滞后量:相对于紧前活动,紧后活动可以推迟的时间量。用正数表示:例FS+15
除了首尾两项活动外,每项活动和每个里程碑都至少有一项紧前活动和一项紧后活动。项目团队可以按逻辑关系将活动排序来创建一个切实的项目进度计划。在活动之间使用提前量或滞后量,可使项目进度计划更为切实可行。
四、项目进度管理-估算活动资源
估算活动资源过程与估算成本过程紧密相关,所以一般情况下要将这两个过程放到一起来进行。
估算活动资源是估算执行各项活动需要的材料、人员、设备和用品的种类和数量的过程,以便做出更准确的成本和持续时间估算。
估算活动资源的ITO详解:

① 资源日历:资源日历是表明每种具体资源的可用工作日或工作班次的日历(何时可用,可用多久)。
② 发布的估算数据:官方或权威机构发布的估算参考数据。
③ 自下而上估算:按照分解结构从下往上估算、汇总。
④ 活动资源需求:明确了工作包中每个活动所需的资源类型和数量。
⑤ 资源分解结构(RBS):是资源按类型和类别的层次展现,有助于结合资源的使用情况,组织与报告项目的进展。例如:

五、项目进度管理-估算活动持续时间
估算活动持续时间是根据资源估算的结果,估算每个活动需要的工作时段的数据的过程,其作用是确定完成每个活动所需花费的时间量,为制订进度计划过程提供主要输入。
1、估算活动持续时间的ITO:

① 类比估算:根据历史项目的数据进行估算。
② 参数估算:根据历史数据和参数模型进行估算。
③ 三点估算:根据乐观、可能、悲观三种情况进行估算。
④ 储备分析:是在估算中考虑不确定性因素而进行的时间储备。
⑤ 活动持续时间估算:按照上述估算方法得出的单个活动持续时间估算结果。
(1)输入:进度管理计划、活动清单、活动属性、活动资源需求、资源日历、项目范围说明书、风险登记册、资源分解结构、事业环境因素、组织过程资产
(2)工具和技术:专家判断、类比估算、参数估算、三点估算、群体决策技术、储备分析
(3)输出:活动持续时间估算、项目文件更新
2、软件开发项目通常用LOC衡量项目规模,LOC指所有可执行的源代码行数,包括可执行的源代码行数,包含数据定义、格式声明等。
单行代码价值=工作量(人月)*每人月费用/代码总行数
3、工作量和工期估算的方法汇总:
(1)专家评估法(Delphi)适用于没有历史数据的情况;
(2)类比估算法适用于有类似历史项目的情况,估计结果的精度取决于历史项目数据的完整性和准确度;
**可重用代码的等价代码行=[(重新设计百分比+重新编码百分比+重新测试百分比)/3]*已有代码行。
(3)参数估算法适用于有历史数据和参数的情况,估算的准确性取决于参数模型的成熟度和基础数据的可靠性
(4)储备分析,称为时间储备或缓冲时间,将其纳入项目进度计划中,用来应对进度方面的不确定性。
1)应急储备。包含在进度基准中,用来应对已识别风险,与“已知-未知”(知道风险存在但不能预测)风险相关。
2)管理储备。不包含在进度基准中,但属于项目总持续时间的一部分,是为管理控制而特别留出的项目时段,用来应对项目范围中不可预见的工作。与“未知-未知”(不知道也无法预测)风险相关。
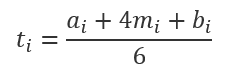
(5)三点估算,也叫计划评审技术(PERT),按照三种情况对项目活动的完成时间估计:
1)乐观时间(QT),计算时用a表示
2)最可能时间(MT),计算时用m表示
3)悲观时间(PT),计算时用b表示
某个活动的期望时间t(均值)计算公式:

某个活动的持续时间方差计算公式:

标准差:

4、某活动在某时间的完成概率:(正态分布固定值,记忆即可,在进度计算中直接引用)
(1)在±范围内:68%
(2)在±2范围内:95%
(3)在±3范围内:99%
(4)除过以上:0.5%
活动持续时间的估算值为制定进度计划提供了最直接的依据,为进度模型的创建提供输入。
六、项目进度管理-制定进度计划
制定可行的项目进度计划,往往是一个反复进行的过程,基于准确的输入信息,使用进度模型来确定各项目活动和里程碑的计划开始日期和计划完成日期。项目进度计划在批准后将作为基准用于跟踪项目进度。
制定进度计划是分析活动顺序、持续时间、资源需求和进度制约因素,创建项目进度模型的过程(反复进行的过程)。经批准的最终进度计划将作为基准用于控制进度的过程。
1、制订项目计划的过程被称为“项目策划”,制定项目计划的步骤:
(1)项目描述
(2)项目分解与活动界定
(3)工作描述
(4)项目组织和工作责任分配
(5)工作排序
(6)计算工作量
(7)估计工作持续时间
(8)绘制网络图
(9)进度安排
2、制定项目进度计划的ITO:

① 进度网络分析:利用网络图的形式进行分析,如横道图、里程碑图、进度网络图等。
② 关键路径法:通过确定关键路径来确定项目的总时长。
③ 关键链法:在关键路径法的基础上考虑不确定因素带来的影响。
④ 资源优化技术:根据资源供需情况,来调整进度模型的技术。
⑤ 进度压缩:压缩工期的办法。
⑥ 进度基准:即批准的进度计划。
⑦ 项目进度计划:进度模型的输出。
⑧ 进度数据:资源需求和备选的进度计划、进度应急储备等。
⑨ 项目日历:工作日和工作班次。
3、关键路径法(CPM)是借助网络图和各活动所需时间(估算值),计算每一项活动的较早或最迟开始和结束时间。关键是计算总时差。
总浮动转单(总时差) = 本活动最迟完成时间 – 本活动较早完成时间 or 本活动最迟开始时间 – 本活动较早开始时间
自由浮动时间(自由时差) = min(紧后活动的较早开始) – 本活动较早完成时间
关键活动是较早开始时间和最晚开始时间相等的活动,关键活动串联起来的路径就是关键路径。在正常下,关键活动的总浮动时间为零。
关键路径是项目中时间最长的活动顺序,决定着可能的项目最短工期。网络图在不断变化,关键路径也在不断变化之中。
4、关键链法(CCM):基于关键路径法,允许项目团队在任何项目进度路径上设置缓冲,以应对资源限制和项目的不确定性。
设置在关键链末端的缓冲叫做项目缓冲,用来保证项目不因关键链的延误而延误。
设置在非关键链与关键链的接合点的缓冲叫做接驳缓冲。
5、资源优化技术是根据资源供需情况,来调整进度模型的技术。包括:
(1)资源平衡:根据资源制约对开始日期和结束日期进行调整。如果关键资源或共享资源只能在特定时间可用,数量有限,或被过度分配,就需要进行资源平衡。也可以为了保持资源使用量处于均衡水平而进行资源平衡。(能让资源优异化,但可能改变关键路径,通常是延长)
(2)资源平滑:对进度模型中的活动进行调整,从而使项目资源需求不超过预定的资源限制的一种技术。活动只在其自由浮动时间和总浮动时间内延迟,所以无法实现所有资源的优化。(不会改变关键路径,很多时候让资源无法优异化,实质上是不彻底的资源平衡)
6、进度压缩技术是指在不缩减项目范围的前提下,缩短进度工期,以满足进度制约因素、强制日期或其他进度目标。包括以下几种方法(进度控制时也用到):
(1)赶工:通过增加资源,以缩短关键活动的工期。如加班、支付加急费用、增加额外资源
(2)快速跟进:并行施工,以缩短关键路径的长度。
(3)使用高素质的资源或经验更丰富的人员
(4)减小活动范围或降低活动要求(甲方同意)
(5)改进方法或技术,提高生产效率
(6)加强质量管理,减少返工
7、进度基准是经过批准的项目进度计划,只有通过正式的变更控制程序才能进行变更,用作与实际结果进行比较的依据。
8、项目进度计划是进度模型的输出,可用列表,也可用图形:横道图(甘特图)【概括性进度计划】、里程碑图【里程碑进度计划】、项目进度网络图(逻辑横道图)【详细进度计划】。横道图的另一种形式是“跟踪横道图”,将活动的实际进度与原计划进行对比,直观显示偏差。项目进度网络图的另一种形式是“时标网络图”(即时标逻辑图,分为前导图法和箭线图法,前面已有述及)
项目进度计划是指导和控制项目进度的主要依据,但在实际项目管理中,进度管理往往是最难管理的一个过程。所以随着工作进展,需要修订和维护项目进度模型,确保进度计划在整个项目期间一直切实可行。
七、项目进度管理-控制进度
有效项目进度控制的关键是监控项目的实际进度,及时、定期地将它与计划进度进行比较,并立即采取必要的纠偏措施。
控制进度是监督项目活动状态,更新项目进展,管理进度基准变更,以实现计划的过程,作用是提供发现计划偏离的方法,从而可以及时采取纠正和预防措施,以降低风险。
进度控制关注的内容:
(1)判断项目进度的当前状态
(2)对引起进度变更的因素施加影响,确保这种变化朝着有利的方向发展
(3)判断项目进度是否已经发生变更
(4)当变更实际发生时严格按照变更控制流程进行管理
进度基准的任何变更都必须经过实施整体变更控制过程的审批,控制进度是实施整体变更控制过程的一个组成部分。
1、控制进度的ITO:

① 绩效审查:即分析进度偏差。
② 进度压缩:采用进度压缩技术进行进度调整。
③ 进度计划编制工具:辅助工具,如项目管理软件。
④ 进度预测:根据已有信息和知识,对未来情况和事件进行的预计。
2、分析进度偏差的目的是分析对后续工作及工期的影响,从三个方面分析:
(1)分析产生进度偏差的工作是否为关键活动。如果是,则影响
(2)分析进度偏差是否大于总时差(总工期)。如果是,则影响
(3)分析进度偏差是否大于自由时差(后续工作)。如果是,则影响
3、项目进度调整是一个持续往复的过程,调整的方法:
(1)关键活动调整法:有可能提前(降低资源及费用),有可能落后(缩短后续关键活动时间)
(2)非关键活动调整法:不影响总工期(适当调整),影响总工期(调整关键活动)
(3)增减工作项目法:不影响总工期(局部逻辑关系调整)
(4)资源调整法:资源优化
项目进度控制必须与其他变化控制过程紧密结合,并且贯穿于项目的始终。当项目的实际进度滞后于计划进度时,首先发现问题、分析问题根源并找出妥善的解决办法。
八、项目进度管理工具汇总
1、看板
看板是一种适用于实施敏捷和 DevOps 软件开发的系统框架,核心在于工作的全方位可视化以及基于工作的实时沟通。通过看板中各工作项的直观展示,可以让团队成员清晰了解各项工作的状态及进展。该方法较早可以追溯到1940 年代后期,丰田通过借鉴超市用来存放货物的货架模型来优化其工程流程。
看板方法几乎适用于所有行业,尤其是在软件开发团队的敏捷实践中取得了显著效果。很大程度上是因为软件团队一旦了解了基本原则,就可以快速上手使用且成本较低,这与在工厂车间实施看板需要涉及更改物理流程和添加大量材料不同,软件团队所需要的东西只是“板”和”卡”,甚至这些都不需要是实体的。
【延伸阅读:看板指南】
2、EVM
误差向量幅度[EVM]:Error Vector Magnitude,误差向量(包括幅度和相位的矢量)是在一个给定时刻理想无误差基准信号与实际发射信号的向量差,能全面衡量调制信号的幅度误差和相位误差。 EVM具体表示发射机对信号进行解调时产生的IQ分量与理想信号分量的接近程度,是考量调制信号质量的一种指标。
3、项目管理工具
根据 Capterra 的数据研究,项目管理软件是人们在项目管理过程中最需要的工具之一。
一个项目无论大小,都需要一款高效且实用的项目管理工具,对项目流程进行把控、及时共享工作文档,从而让工作变得更有效率。 项目管理软件,可用于项目计划、时间管理、资源分配和变更管理,并且能以准确、可预测和可盈利的方式,保证项目有序进行。但选择软件时,常常会出现与业务目标冲突、供需不匹配、成本过高等问题。因此,选择一款优质的项目管理软件,对项目管理人来说是一个亟需解决的问题。
国内外比较拔尖的项目管理软件有PingCode、Worktile、Jira等等;
4、甘特图
甘特图有助于计划和管理项目,它把一个大型项目划分为几个小部分,并有条理地展示。
每个任务都有预期完成时间,由水平的条形代表,左端代表开始日期,右边代表人物的完成日期。任务可能循序渐进,也可能并行,时间有重叠。在项目过程中,重要的事项可以用一个小菱形标记为里程碑。

5、鱼骨图
鱼骨图是一种发现问题“根本原因”的方法,它也可以称之为“Ishikawa”或者“因果图”。 其特点是简洁实用,深入直观。 它看上去有些像鱼骨,问题或缺陷(即后果)标在“鱼头”处。 在鱼骨上长出鱼刺,上面按出现机会多寡列出产生问题的可能原因,有助于说明各个原因是如何影响后果的。
以上就是关于如何做好项目进度管理的全部内容,希望对项目经理有所帮助。
部分内容整理自公众号文章,作者:lenbor












